新一代水稻飞虱“杀手”——三氟苯嘧啶
三氟苯嘧啶(Triflumezopyrim) 作为美国杜邦(现科迪华)研发的首个介离子类杀虫剂,以其全新的作用机制、卓越的防效和良好的环境相容性,迅速成为市场瞩目的焦点。
三氟苯嘧啶属于介离子或两性离子类杀虫剂。这意味着它在同一个分子内同时带有正负电荷,却整体呈电中性。这种独特的结构使其能够以全新的方式作用于昆虫的烟碱型乙酰胆碱受体(nAChR)。
作用机制:它与nAChR上的正构位点竞争性结合,抑制神经传递,导致害虫迅速停止取食,最终死亡。其作用位点与新烟碱类杀虫剂不同,因此无交互抗性,是对抗抗性害虫的利器。
化学名称:3,4-二氢-2,4-二氧代-1-(嘧啶-5-基甲基)-3-(α,α,α-三氟间甲苯基)-2H-吡啶并[1,2-a]嘧啶-1-鎓-3-盐

分子式:C??H??F?N?O?
CAS号:[1263133-33-0]
性状:无味黄色固体,熔点189±0.3℃。
全球市场登记动态
商品名:佰靓琥®(中国)、Pyraxalt、Pexalon(印度)等。
登记情况:2017年在中国正式登记,96%原药和10%悬浮剂获批。随后在印度、新加坡、菲律宾等国相继获登。
目前国内仅有科迪华有原药登记,有三个国内企业持有三氟苯嘧啶相关的复配登记。

合成工艺
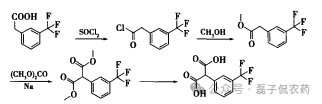
三氟苯嘧啶是以2-[3-(三氟甲基)苯基]丙二酸及其衍生物和N-2-吡啶-5-嘧啶甲胺为原料合成,其中,2-[3-(三氟甲基)苯基]丙二酸衍生物包括2-[3-(三氟甲基)苯基]丙二酰氯、2-[3-(三氟甲基)苯基]丙二酸二甲酯、双(2,4,6-三氯苯基)-2-(3-三氟甲基苯基)丙二酸酯。

三氟苯嘧啶的合成关键在于两个关键中间体:2-[3-(三氟甲基)苯基]丙二酸(或其衍生物) 和N-(5-嘧啶基甲基)-2-吡啶胺。目前全球有多条合成路线:
如:
经典杜邦路线:以3-碘三氟甲基苯和丙二酸二甲酯通过偶联反应构建丙二酸骨架。

(杜邦路线)
沈阳中化优化路线:英君伍等研究者采用间三氟甲基苯乙酸为起始原料,避免了苛刻的偶联反应,条件温和,原料易得,更适合实验室操作(现代农药, 2017)。

(沈阳中化优化路线)
三氟苯嘧啶合成的未来研发方向将聚焦于避开专利限制、使用廉价易得原料、简化操作步骤、提高收率并减少三废的绿色合成路径。
毒性与环境安全性
研究表明,三氟苯嘧啶对哺乳动物毒性较低,对鸟类、鱼类等非靶标生物相对安全,符合现代农药绿色、低毒、高效的发展方向。其在水中的溶解度为0.23 g/L(20℃),在土壤中移动性较弱,降低了地下水污染的风险。
专利布局与国产化展望
科迪华(杜邦)公司围绕三氟苯嘧啶构建了严密的专利网,覆盖化合物、合成方法和制剂。其全球的核心化合物专利基本都将于2030年8月到期。
中国专利:CN102665415A,2030年8月2日专利到期。
国内多家科研院所和企业(如沈阳中化、江西农业大学、河北诚信集团等)正积极进行工艺优化与仿制研究,旨在开发出绕开专利、成本更低、更适合工业化生产的合成路线。
结 语
三氟苯嘧啶凭借其全新的作用机制、卓越的防效、超长的持效期以及良好的环境相容性,已经成为水稻害虫综合防控,特别是治理抗性褐飞虱的战略性武器。随着合成工艺的不断进步与应用技术的深化普及,三氟苯嘧啶必将在全球绿色农业与可持续发展中扮演愈发重要的角色。
游客可直接评论,建议先注册为会员后评论!
以上评论仅代表会员个人观点,不代表中国农药网观点!



