含氟衍生物,特别是含氟有机化合物,因其具有更好的脂溶性、稳定性和渗透性等特点,一直是新农药创制研究的优选方向.....
综述了2020年ISO公开的含氟杀虫剂cyclobutrifluram、flupentiofenox、nicofluprole、cyproflanilide(见图1)及其关键中间体的合成方法,并对其进行了简要介绍,以供农药研究者参考。
图1 Cyclobutrifluram等含氟杀虫剂的结构式
1.1 品种介绍
中文名称:N-[2-(2,4-二氯苯基)-环丁基]-2-三氟甲基烟酰胺;英文名称:N-[2-(2,4-dichlorophenyl)cyclobutyl]-2-(trifluoromethyl)pyridine-3-carboxamide;CAS:1460292 -16-3,分子式:C17H13Cl2F3N2O,相对分子质量:389.20,氟含量:14.64%。Cyclobutrifluram是由先正达公司成功开发的含环丁胺结构片段的新型烟酰胺类含氟杀线虫剂。可防治番茄、黄瓜和甜菜等作物上的线虫。 1.2 Cyclobutrifluram的合成
Cyclobutrifluram的合成主要有2种方法,见图2。方法1是以2-(2,4-二氯苯基)环丁胺(2)与2-三氟甲基烟酸为原料,在EDCI等缩合剂和催化剂如DMAP或HOBT作用下直接缩合反应生成目标产物;而另一种方法则是经关键中间体N-[2-(2,4-二氯苯基)-环丁烯-1-基]-2-三氟甲基烟酰胺(3)的还原后获得。

图2 Cyclobutrifluram的合成
1.3 关键中间体2和3的合成
1.3.1 关键中间体2:2-(2,4-二氯苯基)环丁胺的合成
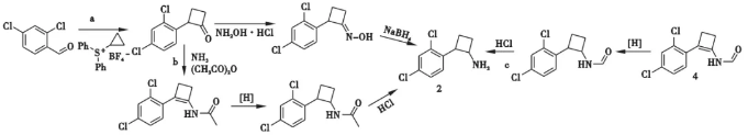
中间体2的制备主要有3条合成路线,见图3。其中路线a是以2,4-二氯苯甲醛为起始原料,经环丁酮化、肟化和还原反应而得;路线b则是在中间体2-(2,4-二氯苯基)环丁酮的基础上再经乙酰胺化、还原及水解后获得关键中间体2;路线c则是以中间体1-甲酰氨基-2-(2,4-二氯苯基)环丁烯4为原料,经还原、水解后制备目标产物2。相对于另2种方法,路线a具有合成步骤短和收率较高等优点,适合于该中间体的制备。
图3关键中间体2的合成
1.3.2 关键中间体3:N-[2-(2,4-二氯苯基)-环丁烯-1-基]-2-三氟甲基烟酰胺的合成
中间体3的制备是基于上述中间体4,再经酰基化、脱保护后获得。而中间体4的合成主要有以下3种方式:路线3-1是以1,3-二氯苯为起始原料,经傅克酰基化、还原、氯化和环化获得;路线3-2则是以2,4-二氯苯甲醛为原料,经环化、重排后直接制备中间体4;路线3-3是以(3-氯丙基)2,4-二氯苯基甲酮为原料,经溴化、环丙基胺化和重排后得目标中间体4。路线3-2相对于其他方法,具有原料易得、步骤少和收率较高等特点,是合成关键中间体3的首选路线,见图4。

图4 关键中间体3的合成
2.1 品种介绍
中文名称:(三氟甲基)5-[2-氟-4-氯-5-((2,2,2-三氟乙基)亚磺酰基)苯氧基]戊基硫醚;英文名称:4-chloro-2-fluoro-5-[(RS)-(2,2,2-trifluoroethyl)sulfinyl]phenyl5-[(trifluoromethyl)thio]pentyl ether;实验代号KII-9396;CAS:1472050-04-6;分子式:C14H14ClF7O2S2;相对分子质量:446.83;氟含量:29.76%。Flupentiofenox是由日本组合化学公司开发的新型硫醚类含氟杀虫杀螨剂。适用于防治水果、蔬菜和水稻等的虫螨。
2.2 Flupentiofenox的合成
Flupentiofenox的制备是经关键中间体5在氧化剂如过氧化苯甲酸等作用下选择性氧化成目标产物,见图5。其中过氧化苯甲酸作为氧化剂时,其收率为76%,而氧化剂为过氧化氢/三乙酰丙酮铁时,收率高达98%。

图5 Flupentiofenox的合成
2.3 关键中间体5:(三氟甲基)5-[2-氟-4-氯-5-(2,2,2-三氟乙硫基)苯氧基]戊基硫醚的合成
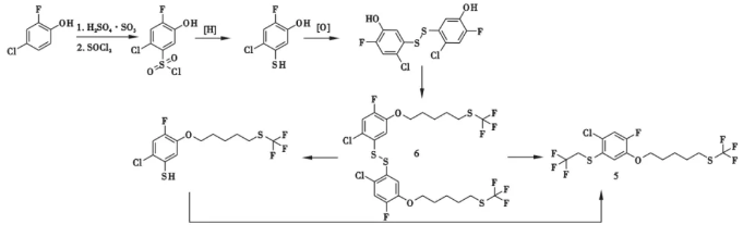
该关键中间体的合成主要是以2-氟-4-氯苯酚为原料,经磺酰化、还原、氧化和O-烷基化得中间体6,而该中间体直接进行三氟乙基化后得目标中间体5。而另一种合成方法则是中间体6先还原成苯硫醇,再经三氟乙基化反应获得,见图6。
图6 关键中间体5的合成
3.1 品种介绍
中文名称:N-甲基-N-环丙基-2-氯-5-[1-(2,6-二氯-4-七氟异丙基苯基)-吡唑-4-基]烟酰胺;英文名称:2-chloro-N-cyclopropyl-5-(1-{2,6-dichloro-4-[1,2,2,2-tetrafluoro-1-(trifluoromethyl)ethyl]phenyl}-1H-pyrazol-4-yl)-N-methylpyridine-3-carboxamide;CAS:1771741-86-6;分子式:C22H14Cl3F7N4O;相对分子质量:589.72;氟含量:22.55%。Nicofluprole是由拜耳公司成功开发上市的新型苯基吡唑烟酰胺类含氟杀虫剂,作用机理暂时未见报道。
3.2 Nicofluprole的合成
Nicofluprole的制备主要有以下2种方法,见图7。其中方法一是以关键中间体N-苯基吡唑7和烟酰胺8为原料,在钯催化剂作用下,直接偶合生成nicofluprole,也可以在关键中间体9的基础上,经N-甲基化而获得。

图7Nicofluprole的合成
3.3 关键中间体7、8和9的合成
因关键中间体9的合成是基于中间体7,故仅讨论中间体8和9的合成。
3.3.1 关键中间体8:N-甲基-N-环丙基-2-氯-5-溴烟酰胺(8a)、5-(N-甲基-N-环丙基氨甲酰基)-6-氯吡啶-3-硼酸(8b)和N-甲基-N-环丙基-2-氯-5-(4,4,5,5-四甲基-1,3,2-二氧杂硼烷-2-基)烟酰胺(8c)的合成
该中间体的合成是以2-氯-5-溴烟酸为原料,经氯化、环丙胺化和甲基化后获得关键中间体N-甲基-N-环丙基-2-氯-5-溴烟酰胺(8a)。在此基础上,再经钯络合物催化下进行硼酸化或硼酸酯化而分别得关键中间体5-(N-甲基-N-环丙基氨甲酰基)-6-氯吡啶-3-硼酸(8b)和N-甲基-N-环丙基-2-氯-5-(4,4,5,5-四甲基-1,3,2-二氧杂硼烷-2-基)烟酰胺(8c),见图8。
图8 关键中间体8的合成
3.3.2 关键中间体9:N-环丙基-2-氯-5-[1-(2,6-二氯-4-七氟异丙基苯基)-吡唑-4-基]烟酰胺的合成
中间体9的合成是以2,6-二氯-4-七氟异丙基苯胺为起始原料,经环化、碘化、Kumada交叉偶联和水解等多步反应后获得;另一合成路线则是在获得碘化产物1-(2,6-二氯-4-七氟异丙基苯基)-4-碘-1H-吡唑的基础上,直接与5-(N-环丙基氨甲酰基)-6-氯吡啶-3-硼酸经四(三苯基膦)钯催化偶联反应生成关键中间体9,见图9。
图9 关键中间体9的合成
4.1 品种介绍
中文名称:N-(2-溴-4-七氟异丙基-6-三氟甲基苯基)-2-氟-3-[N-环丙甲基-(4-氟苯甲酰氨基)]苯甲酰胺;英文名称:3′-[({2-bromo-4-[1,2,2,2-tetrafluoro-1-(trifluoromethyl)ethyl]-6 -(trifluoromethyl)phenyl}amino)carbonyl]-N-(cyclopropylmethyl)-2′,4-difluorobenzanilide;中文简称:环丙氟虫胺;CAS:2375110-88-4;分子式:C28H17BrF12N2O2;相对分子质量:721.33;氟含量:31.61%。Cyproflanilide是由泰禾集团成功开发上市的国内第1个间-双酰胺类杀虫剂。作用机制可能与broflanilide(溴虫氟苯双酰胺)相同,为γ-氨基丁酸抑制剂。适用于防治鳞翅目和鞘翅目等病害虫。
4.2 Cyproflanilide的合成
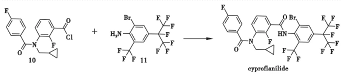
环丙氟虫胺的制备主要是由关键中间体取代苯甲酰氯(10)和2-溴-4-七氟异丙基-6-三氟甲基苯胺(11)在强碱如二异丙基胺基锂的作用下直接获得,见图10。
图10 Cyproflanilide的合成
4.3 关键中间体10和11的合成
4.3.1 关键中间体10:3-(N-环丙甲基-N-(4-氟苯甲酰基)氨基)-2-氟苯甲酰氯的合成
中间体10的合成是以2-氟-3-氨基苯甲酸甲酯为起始原料,经烷基化、酰基化和水解等多步反应制备而成,见图11。
图11 关键中间体10的合成
4.3.2 关键中间体11:2-溴-4-七氟异丙基-6-三氟甲基苯胺的合成
该中间体11的合成是以邻三氟甲基苯胺为起始原料,经七氟异丙基化、溴化反应制备而成,见图12。其中,常见的溴化试剂有单质溴或NBS,且用单质溴时的收率可高达96%,明显高于NBS(80%)。
图12关键中间体11的合成
本文对ISO最新公开的含氟杀虫剂如环丙氟虫胺、flupentiofenox、nicofluprole和Cyclobutrifluram等4个进行了简要介绍,且分别对其和相应关键中间体的合成方法进行了概述。而氟主要是以全氟烷基特别是三氟甲基和/或七氟异丙基的形式存在于分子结构中,如环丙氟虫胺其含氟量高达31.61%。可以预见未来会有更多含氟新农药品种被开发上市。与此同时,也应该深入研究长期而大量使用的含氟有机物对环境造成的影响。