总投资3.1亿元,年产10000吨氯虫苯甲酰胺项目拟建!更多农药产品新建、登记及市场动向......
编者按:如果企业是一棵大树,那么产品就是企业的根和生命之源,企业之间的竞争归根结底还是产品的竞争。因此,如何更好地捕获、掌握并进行深入分析研究各种有价值的产品信息,如何研发、生产、登记和推广应用好一个产品,这些对企业都至关重要。我们将在每周日汇总推出行业和企业热点和重点产品有关新建、登记、市场和应用的最新动态,以供企业决策和经营。
一 周 农 药
总投资3.1亿元,年产10000吨氯虫苯甲酰胺项目拟建
2026年1月4日,安徽恒科化工有限公司年产10,000吨氯虫苯甲酰胺产品技改项目环境影响报告书受理情况在相关网站公示。
根据项目设计方案,公司利用厂区现有2# 生产车间年产600吨2,6-二氯-4-三氟甲基苯胺产品、年产300吨吡唑环产品、年产200吨吡唑二硫产品生产线闲置设备,改建年产10,000吨氯虫苯甲酰胺产品技改项目。本项目建成运行后,可年产氯虫苯甲酰胺10,000 吨。
表1 拟建项目产品方案一览表

表2 建成后全厂产品方案一览表(t/a)

氯虫苯甲酰胺属于邻甲酰氨基苯甲酰胺类杀虫剂,兼具内吸、触杀、胃毒(以胃毒为主)作用,具有超高活性、卓越安全性及环境友好性等核心优势,快速渗透传导、正打反死、耐雨水冲刷,广泛用于水稻、玉米、蔬菜、果树等多种作物,对各类鳞翅目害虫均表现出优异防治效果。
总投资1.67亿元,两款杀虫剂关键中间体项目拟建
近日,长青(湖北)生物科技有限公司年产1,000吨3-苯氧基苯甲醛、750吨2,6-二氯-4-三氟甲基苯胺建设项目在相关网站公示。
利用现有厂区生产车间扩建,不新增用地。对现有22# 车间进行改造,生产1,000吨/年3-苯氧基苯甲醛、750吨/年2,6-二氯-4-三氟甲基苯胺。新增一个50m3苯甲醛储罐、一个50m3乙二醇储罐、一个10,000m3液钾储罐,一座2,800m3初期雨水池三。其余的公辅设施与环保工程(危废贮存库、3号RTO焚烧装置、污水处理系统、事故应急池一、事故应急池二、初期雨水池一、初期雨水池二等)主要依托现有设施。
3-苯氧基苯甲醛主要用于合成拟除虫菊酯类杀虫剂(如溴氰菊酯、氯氰菊酯);2,6-二氯-4-三氟甲基苯胺是杀虫剂氟虫腈、氟幼脲等的重要中间体。
投资1.94亿元扩建,精草铵膦产能将增至50000吨/年
近日,湖南利尔生物科技有限公司扩能至50,000吨/年L-草铵膦建设项目环境影响评价信息在相关网站第一次公示。
项目在现有场地上将L-草铵膦(精草铵膦)产品生产线扩建至50,000吨/年,并配套相应环保设施。
湖南利尔生物科技有限公司是利尔化学股份有限公司的控股子公司,成立于2016年02月26日,拥有国内首创“L-草铵膦大规模生物合成技术”,具备从菌株构建到商业化量产的生物制造全链条能力。
高选择性除草剂精二甲吩草胺的研究应用、市场开发与合成工艺综览
精二甲吩草胺作为二甲吩草胺的光学高效活性(S)-异构体,是巴斯夫公司核心除草剂产品之一。与乙草胺、异丙甲草胺、砜吡草唑等都属超长链脂肪酸延长合成酶(VLCFAE)抑制剂,被国际除草剂抗性行动委员会(HRAC)归入15组除草剂。乙草胺因残留超标问题不允许用于我国绿色花生种植,精异丙甲草胺因存在潜在内分泌干扰风险已面临禁用,砜吡草唑具有良好安全性和高效除草活性,成为当前研发热点品种之一。与二甲吩草胺相比,精二甲吩草胺在除草活性、环境相容性与使用经济性等方面均展现出显著优势,其具备更强的杂草防控能力,可在更低田间用量下实现高效防治,同时大幅降低对非靶标生物的毒性影响。目前已广泛用于玉米、大豆等作物田多种杂草防治。
本文综述了精二甲吩草胺的理化特性、活性与毒理、登记应用、市场开发、合成工艺等研究成果,对其开发应用前景进行了展望,旨在为该除草剂的进一步开发和应用提供参考。
1. 精二甲吩草胺介绍
精二甲吩草胺结构式、通用名、CAS登录号、分子式与分子量、化学名称、物理性质如下:

图1 精二甲吩草胺
中文通用名:甲酚噻草胺-P
英文通用名:Dimethenamid-P
CAS登录号:163515-14-8
分子式与分子量:C12H18ClNO2S, 275.79
化学名称:(S)-2-氯-N-(2,4-二甲基噻吩-3-基)-N-(2-甲氧基-1-甲基乙基)乙酰胺
物理性质:棕黄色透明液体。沸点382.9℃(760 mmHg),相对密度1.195(20~25℃)。溶解度(20~25℃):水1.2 g/L (pH=7),正庚烷282 g/kg,异辛醇220 g/kg,微溶于氯仿和甲醇,易溶于乙醚、煤油、乙醇等。
精二甲吩草胺的作用机理主要为破坏杂草细胞内脂肪酸的合成,进而抑制杂草细胞分裂,导致杂草死亡。对土壤生物、鱼类和水生无脊椎动物毒性较低。对大鼠急性经口LD50=429 mg/kg,属中等毒性,对兔皮肤和眼部无刺激性,但有皮肤致敏性;NOEL(mg/kg):NOAEL大鼠(90 d) 10,小鼠(94周) 3.8,狗(1年) 2.0。其每日允许摄入量(ADI)为0.07 mg/kg。遗传毒理学测试(Ames试验和染色体畸变试验)无致突变性、无致癌和致畸性;在生态毒性方面,鸟类急性经口LD50>1088 mg/kg,鱼类LC50≈6 mg/L,水蚤LC50=12 mg/L,藻类EC50=0.017 mg/L,对蜜蜂急性经口LD50>134μg/峰,且对捕食性天敌无害;在动物和植物体内通过谷胱甘肽结合途径实现快速代谢排出,无生物累积性,因此对作物表现出良好的安全性和选择性;在土壤中的降解半衰期DT50为8~43 d,具有较强的吸附能力(有机化学物质吸收常数KOC为90~474),且光解较快,在水中的光解半衰期DT50<1 d。另外,欧盟委员会健康与消费者保护总司(DG-SANCO)公布了精二甲吩草胺的残留限量为0.01/0.05 mg/kg。
二甲吩草胺由山道士公司(现先正达公司)研制,1996年巴斯夫(BASF)收购并继续开发该产品,经光学拆分得到高纯度的(S)-二甲吩草胺,即精二甲吩草胺。精二甲吩草胺作为玉米田专用除草剂,对禾本科杂草(马唐、稗、狗尾草属杂草、油莎草及假高粱)与阔叶杂草(苘麻、反枝苋、藜属杂草、曼陀罗、龙葵等)均有很好的防效,可用于播前土壤处理及播后苗前封闭除草,用量仅需二甲吩草胺的1/2即可达到同等杂草防除效果,有效降低了用药成本与对环境及非靶标生物的影响。
2. 精二甲吩草胺应用研究进展
精二甲吩草胺施用方式丰富多样,适于播前表土处理、播前混土处理、苗前处理及苗后处理。在土壤干湿交替条件下,精二甲吩草胺仍具有90 d以上持效期,且其不同年份间的除草效果稳定。
精二甲吩草胺复配组合物不仅扩大了杂草防治谱,增强了整体杂草防治效果,降低了用药成本,还规避因长期使用单一制剂而导致杂草快速产生抗性的风险。2011年Moran等分别研究了精二甲吩草胺与苯嘧磺草胺、精二甲吩草胺与草甘膦的组合物防除玉米田杂草,田间试验研究结果发现精二甲吩草胺与苯嘧磺草胺联用时,用量在368~1470 g/hm2,对杂草防除效果最佳;精二甲吩草胺与草甘膦联用,用量46~1470 g/hm2时对杂草的防除效果最佳;此外,研究还发现精二甲吩草胺与苯嘧磺草胺联用在933 g/hm2时对最难控制的豚草生长抑制率≥95%。2012年Miller等研究了精二甲吩草胺与苯嘧磺草胺组合物防除大豆田一年生杂草,结果显示在224~374 g剂量下,药剂处理4周后,对常见的豚草、藜、狗尾巴草防效≥80%,该组合与草甘膦交替使用,可以大幅降低杂草对草甘膦产生抗性风险,提高大豆产量。
2015 年Walsh等研究了精二甲吩草胺、苯嘧磺草胺、咪唑乙烟酸三元复配防除大豆苗期杂草,结果发现该方案可显著提升对普通藜草、豚草、狗尾巴草及绒毛叶等杂草的防除效果,并且有利于提高大豆产量。2020年Idziak等通过田间试验研究了精二甲吩草胺与二甲戊灵复配用于防除玉米苗期杂草,该研究采用″前期低剂量预处理+后期低剂量茎叶处理″的施药策略,即先用精二甲吩草胺与二甲戊灵进行封闭预处理,再于玉米3~5叶期配合其他低剂量茎叶处理除草剂(如烟嘧磺隆+砜嘧磺隆+麦草畏、环磺酮、硝磺草酮+烟嘧磺隆、甲酰胺磺隆+碘甲磺隆钠盐及烟嘧磺隆)联合施药,该方案用药量较精二甲吩草胺与二甲戊灵单独使用时减少近50%,并且可以有效控制玉米田杂草。针对抗性马唐有效除草剂选择少的问题,2022年Miranda等评估了精二甲吩草胺的单用、联用2种方案防治豆田抗乙酰乳酸合成酶(ALS)抑制剂马唐效果,单用方案是单独使用精二甲吩草胺处理,联用方案是先使用精二甲吩草胺预处理,再使用精二甲吩草胺与二甲戊灵复配药剂进行后处理,结果显示,2种方案均能有效控制第一真叶期和第三真叶期抗性马唐种群数量,其防效≥95%,且2种方案的防除效果无显著差异,均可作为防控ALS抑制剂抗性马唐优选方案。
3. 精二甲吩草胺的登记及市场发展
3.1 精二甲吩草胺登记情况
巴斯夫公司在欧洲、北美等全球多个国家和地区开发上市了精二甲吩草胺,1999年在美国获得97.2%精二甲吩草胺原药登记,2004年在欧盟获得93.0%原药登记。截至目前,在中国仅潍坊中农联合化工有限公司获得96.0%精二甲吩草胺原药登记,且仅限出口到柬埔寨、澳大利亚。
精二甲吩草胺2000年在德国率先用于向日葵、大豆及玉米等作物田除草,2001年进入美国市场用于玉米和花生等作物田除草,2002年在法国正式推出,用于玉米田除草,2005年在英国用于冬油菜田杂草防除,2007年在西班牙应用于玉米田、澳大利亚用于豆类、蔬菜等作物田杂草防除。基于对生态安全的审慎考量,欧盟于2009年做出关键决策:拒绝二甲吩草胺外消旋混合物的重新登记申请,并批准以巴斯夫公司生产的精二甲吩草胺作为其更安全的替代品。为进一步提升其除草效果,巴斯夫公司于2010年推出了600 g/L精二甲吩草胺与68 g/L苯嘧磺草胺的复配制剂″Integrity″,该制剂主要用于加拿大玉米田的早期禾本科与阔叶杂草综合治理,标志着精二甲吩草胺从单剂应用迈向了科学的复配新阶段,与此同时,该复配产品以″Verdict″为商品名也在美国获批,将其应用范围扩展至大豆田杂草防除;2012年,巴斯夫公司进一步开发出含精二甲吩草胺、苯嘧磺草胺及咪唑乙烟酸的三元复配制剂″Optill Pro″,并于同年通过美国登记审批,专门用于大豆田杂草的综合治理。2015年,巴斯夫公司又推出精二甲吩草胺与苯唑草酮的复配除草剂″Armezon Pro″,并完成其在美国玉米田应用的登记审批。2019年精二甲吩草胺获得欧盟续展登记批准,登记有效期延长至2034年8月。2019—2025年,巴斯夫通过复配与单剂,开发多种剂型,扩大产品线,相继在美国、欧盟、英国、日本、澳大利亚、加拿大等国家和地区登记了相关制剂产品,制剂复配及应用情况详见表1。由表1可知:巴斯夫近年来将精二甲吩草胺定位为公司核心除草剂之一,持续加大其在美国、欧盟、英国及日本等高端农业市场的推广与布局力度。通过持续研发创新、丰富产品组合及拓展登记范围,显著增强了巴斯夫在全球植保市场的综合竞争力。
表1 精二甲吩草胺制剂产品在美国、欧盟、英国、日本、澳大利亚、加拿大的登记情况

3.2 精二甲吩草胺的市场发展
乙草胺和异丙甲草胺等酰胺类除草剂因残留、毒性等问题已面临限用、禁用风险,精二甲吩草胺虽然用量较大,但凭借其良好安全性,恰好可以填补乙草胺和异丙甲草胺等酰胺类除草剂短缺。精二甲吩草胺在欧洲和北美洲市场销售额2009、2012、2014、2016年分别达到1.20、1.40、1.60、1.65亿美元。随着其复配产品的增多,精二甲吩草胺应用市场进一步扩大,2019年销售额增长至2.04亿美元,2023年继续增长至2.22亿美元,2009—2023年复合年增长率达到4.50%,呈现出持续稳定的增长态势,如图2所示。

图2 2009—2023年精二甲吩草胺在欧洲和北美洲的市场销售
(数据来源于AgbioInvestor)
精二甲吩草胺已从具备发展潜力的除草剂品类,逐步成长为性能优异的主流除草剂品种。展望未来,依托巴斯夫强大的市场开发能力、该产品多元化的复配体系、剂型布局以及乙草胺和异丙甲草胺等除草剂的禁限用,精二甲吩草胺的销售额也会继续稳健增长。
4. 精二甲吩草胺的合成工艺
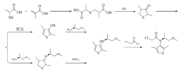
原瑞士山道士公司于1992年申请的精二甲吩草胺制备方法专利US5457085A于2012年11月16日到期。其后,精二甲吩草胺的合成工艺也多有文献报道,有2条主要合成路线。
路线1:以2-巯基丙酸与2-甲基丙烯酸为原料反应生成2,5-二甲基-3-硫杂己二酸,在催化剂存在条件下环合生成2,4-二甲基四氢噻吩-3-酮。再基于2,4-二甲基四氢噻吩-3-酮合成精二甲吩草胺有2种方法,一是先芳构化后缩合,即先脱氢得到2,4-二甲基噻吩-3-酚,然后与(S)-1-甲氧基-2-丙胺进行缩合反应,最后与氯乙酰氯反应得到产品;二是先缩合后芳构化,即2,4-二甲基四氢噻吩-3-酮与1-甲氧基-2-丙胺先通过缩合反应生成亚胺,接着在氯化亚砜作用下进行芳构化,再与氯乙酰氯反应得到产品(图3)。

图3 精二甲吩草胺合成路线1
路线2:以(R)-2-羟基丙酸异丁酯和3,5-二甲基噻吩-2-甲酸甲酯为原料。首先,(R)-2-羟基丙酸异丁酯与对硝基苯磺酰氯缩合得到(R)-2-[(4-硝基苯基)磺酰氧基]丙酸异丁酯;3,5-二甲基噻吩-2-甲酸甲酯经硝化、还原、水解脱羧得到2,4-二甲基-3-氨基噻吩;然后,(R)-2-[(4-硝基苯基)磺酰氧基]丙酸异丁酯与2,4-二甲基-3-氨基噻吩得到N-(2,4-二甲基噻吩-3-基)-(L)-丙氨酸异丁酯经水解、还原后,再先后与氯乙酰氯和甲基化试剂反应得到精二甲吩草胺(图4)。

图4 精二甲吩草胺合成路线2
路线1的小分子堆积策略较路线2的保护脱保护策略具有更好的原子经济性,步骤短且规避了危险的硝化反应,更具工业化应用价值。 上述2条精二甲酚草胺合成路线中,中间体(S)-1-甲氧基-2-丙胺、2,4-二甲基四氢噻吩-3-酮和2,4-二甲基-3-氨基噻吩是关键中间体,其合成路线分述如下。
4.1 (S)-1-甲氧基-2-丙胺的合成
以(L)-丙氨酸作为天然手性来源,目前已有较多关于其用于合成(S)-1-甲氧基-2-丙胺的方法报道。1992年,山道士公司在其专利US5457085A中公开了以(L)-丙氨酸为起始原料,硼氢化钠还原生成(L)-丙氨醇,再醚化得到(S)-1-甲氧基-2-丙胺(图5)。该工艺使用了相对昂贵的硼氢化钠还原试剂,成本偏高,并且用硫酸二甲酯进行醚化,三废较多,原子经济较差,市场竞争力相对较弱。

图5 基于(L)-丙氨酸制备(S)-1-甲氧基-2-丙胺的合成路线
2007 年,巴斯夫公司专利US20070232833A1首次公开了(S)-1-甲氧基-2-丙醇与氨气直接反应合成(S)-1-甲氧基-2-丙胺方法(图6),收率≥99%。由于(S)-1-甲氧基-2-丙醇的醇羟基离去能力较弱,需要在高温高压条件下进行,反应条件比较苛刻,设备材质要求高。

图6 基于(S)-1-甲氧基-2-丙醇制备(S)-1-甲氧基-2-丙胺的合成路线
2010 年,弗·哈夫曼-拉罗切有限公司改进了以(L)-丙氨酸为原料的合成方法,并申请了专利US20100324056A1(图7)。首先以(L)-丙氨酸与氢化铝锂发生还原反应,再与二叔丁基二碳酸酯经保护反应生成(S)-N-叔丁氧羰基-2-氨基-丙醇,然后在氧化银催化下和碘甲烷发生烷基化反应得到(S)-N-叔丁氧羰基-1-甲氧基-2-丙胺,最后在盐酸体系中去除保护得到(S)-1-甲氧基-2-丙胺,纯度可达100%。该合成路线采用叔丁氧羰基作为氨基保护基团,提高了目标产物的收率,但氢化铝锂工业化使用风险高;银催化剂价格较高,保护基团的引入与脱除过程增加了原料消耗及操作过程,原子经济性差,整体成本高。

图7 基于(L)-丙氨酸制备(S)-1-甲氧基-2-丙胺的合成路线
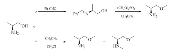
2016 年,巴斯夫公司以手性(L)-丙氨醇为起始原料进一步优化(S)-1-甲氧基-2-丙胺合成,并申请2项美国专利US20160176803A1和US20160194273A1(图8)。US20160176803A1以(L)-丙氨醇与苯甲醛反应先制备(S)-N-苯亚甲基-2-氨基丙醇,接着在甲醇钠作用下与硫酸二甲酯进行烷基化反应,得到目标产物,纯度89%,收率80%,该工艺实现了苯甲醛的回收套用,降低了成本,具有一定工业应用价值。US20160194273A1以(L)-丙氨醇为原料,在甲醇钠作用下与氯甲烷直接反应生成目标产物,因有较多副产物产生,产品收率仅为40%。

图8 基于(L)-丙氨醇制备(S)-1-甲氧基-2-丙胺的合成路线
(L)-丙氨醇作为合成精二甲吩草胺的关键中间体,其化学合成方法的合成步骤较多,原料昂贵,亲水性强,从反应体系中分离过程繁琐。近年来,随着化学生物学的发展,采用生物催化制备手性中间体的研究越来越多。相较于化学合成方法,生物催化法具有原子经济性高、立体选择性高等显著优势,受到广泛关注。ω-转氨酶是手性胺合成的重要生物催化剂,其反应机理为将氨基供体中的氨基转移至氨基受体的羰基上,生成手性胺产物,氨基供体或受体通常至少有一方不属于α-氨基酸或α-酮酸范畴。基于ω-转氨酶手性选择性的差异,S型ω-转氨酶以(L)-丙氨酸作为氨基供体时,通常可定向生成S型手性胺。2001年赛尔格罗公司以2-氨基丙烷为氨基供体,使甲氧基丙酮与(S)-转氨酶充分接触,在很温和的条件下可以高选择性得到(S)-1-甲氧基-2-丙胺(图9),产物纯度≥99%。

图9 基于(S)-转氨酶催化制备(S)-1-甲氧基-2-丙胺的合成路线
2014 年,Andrade等对上述工艺路线进行优化,采用连续流管道化工艺,首先将ω-转氨酶填充于反应器内,甲氧基丙酮与2-氨基丙烷分别通过注射泵进入Y型反应器完成混合,在固定床反应器停留30 min,温度控制为50℃,最佳转化率可达95%,(S)-1-甲氧基-2-丙胺纯度≥99%。与传统釜式反应器相比,该工艺具有操作简单、反应时间短、时空产率高,易于自动化智能化控制等优势,且在连续生产数天后,生物酶活性可保持稳定。
2015 年,Holzer等研究了ω-转氨酶催化羰基化合物发生不对称还原胺化反应(图10)。构建以氢化酶、丙氨酸脱氢酶与ω-转氨酶为核心的生物催化体系,以氨气作为氮源、氢气作为还原剂,转化率达98%,对映体选择性≥99%。该方案有效减少了副产物生成,原子经济性好,具有较好工业化前景。

图10 基于ω-转氨酶催化制备(S)-1-甲氧基-2-丙胺的合成路线
随着更多生物酶在合成领域的功能被发掘,为生物催化制备手性胺技术的发展提供了重要支撑。2021年,Ducrot等采用野生型MsmeAmDH生物酶合成了相应手性胺,拓展了对不同结构类型羰基化合物底物的研究,该AmDHs生物酶对各类底物均表现出特定的催化活性与手性选择性;2022年,Kong等研究了烷基(杂)芳基酮的转化,提出采用新型AmDH突变体作为催化剂合成手性α-(杂)芳基伯胺的反应方案,反应转化率≥99%,对映选择性亦可达99%。因此,通过对不同类型生物酶的催化研究,为合成(S)-1-甲氧基-2-丙胺提供了重要选择和参考。
4.2 2,4-二甲基四氢噻吩-3-酮的合成
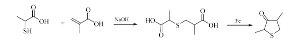
1987 年,山道士有限公司专利CN85106474A公开了以巯基丙酸为起始原料合成2,4-二甲基四氢噻吩-3-酮(图11)。以巯基丙酸与甲基丙烯酸为起始原料,在叔胺或Fe、Co(Ⅱ)、Ni(Ⅱ)的醋酸盐存在下发生加成和环化反应得到2,4-二甲基四氢噻吩-3-酮,该方法得到的产物收率高,并且易实现未反应原料的回收与循环利用,具备工业化应用潜力。

图11 2,4-二甲基四氢噻吩-3-酮的合成路线
2017 年,帕潘纳(北京)科技有限公司专利CN106397395A报道了以巯基丙酸与甲基丙烯酸为起始原料合成2,4-二甲基四氢噻吩-3-酮的改进方法。基于催化剂替换,采用氯化亚铜为主催化剂,对甲苯磺酸钠为助催化剂,优化条件下产物纯度可达99%,收率提升至91%。该工艺采用一锅法连续操作,无需分离中间产物,且所用催化剂价格低廉易得,收率高,生产成本大幅降低,工业化可行性显著提升。2018年,武汉工程大学同样以巯基丙酸和甲基丙烯酸为原料,采用醋酸亚铁作为单一催化剂,实现了一锅完成环合反应与脱羧反应得到目标产物,产品纯度97%,收率81%,该路线的优势是采用廉价的醋酸亚铁催化剂,但是收率偏低,需要开发更高效的催化剂提高收率。
4.3 2,4-二甲基-3-氨基噻吩的合成
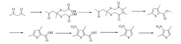
2011 年,沈阳化工研究院提出了2,4-二甲基-3-氨基噻吩的全新合成路线(图12)。以巯基乙酸和乙酰丙酮为起始原料,通过亲核加成反应、甲酯化反应、随后甲醇钠条件下关环得到3,5-二甲基噻吩-2-甲酸甲酯,经水解、硝化、脱羧得到2,4-二甲基-3-硝基噻吩,最后通过氯化亚锡还原获得2,4-二甲基-3-氨基噻吩。该合成路线共包含7步反应,尽管原料易得,但反应步骤多,整体收率低,又用到危险的硝化反应,工业化前景不乐观。

图12 2,4-二甲基-3-氨基噻吩的合成路线
2019 年,北京颖泰嘉和生物科技股份有限公司]提出改进工艺,同样以巯基丙酸为起始原料环合生成2,4-二甲基四氢噻吩-3-酮,最后与盐酸羟胺缩合脱水并芳构化得到2,4-二甲基-3-氨基噻吩(图13),产品纯度99%,收率90%。与上述路线相比,该反应步骤简单,反应条件温和,易于产业化。

图13 2,4-二甲基-3-氨基噻吩的合成路线
综上,以巯基丙酸为起始原料合成2,4-二甲基四氢噻吩-3-酮的路线设计更为合理,原子经济性好,收率高,更具有工业化价值。
5. 展望
精二甲酚草胺的商业化发展历经近30年,随着其复配登记的不断增加,制造成本不断降低,终端性价比凸显,市场销售额呈现逐年递增态势。中国全氟辛烷磺酰基化合物(PFOS)相关管控政策实施以及欧盟对含三氟甲基类(如氟噻草胺)和部分酰胺类除草剂的限用、禁用,也有望为精二甲酚草胺带来市场增量机遇。
目前国内仅有1家企业持有该产品原药专供出口登记,尚未有正式登记和工业化装置,可能原因是高昂的登记费用,或因其用量大不符合″双减″政策,会有登记风险。但是,精二甲吩草胺具有高安全性,与其他除草剂协同性好,海外市场潜力较大。国内农药生产企业可与高校科研院所加强合作,开发高效、绿色、低成本的(S)-1-甲氧基-2-丙胺手性合成技术,降低成本,为企业″走出去″增加具有竞争力的产品,为全球提供更具性价比的精二甲酚草胺,可进一步扩大市场规模及应用前景。
游客可直接评论,建议先注册为会员后评论!
以上评论仅代表会员个人观点,不代表中国农药网观点!



