总投资2.1亿元,一款杀虫剂项目拟建!更多农药产品新建、登记及市场动向......
编者按:如果企业是一棵大树,那么产品就是企业的根和生命之源,企业之间的竞争归根结底还是产品的竞争。因此,如何更好地捕获、掌握并进行深入分析研究各种有价值的产品信息,如何研发、生产、登记和推广应用好一个产品,这些对企业都至关重要。我们将在每周日汇总推出行业和企业热点和重点产品有关新建、登记、市场和应用的最新动态,以供企业决策和经营。
一 周 农 药
总投资2.1亿元,一款杀虫剂项目拟建
近日,内蒙古仁中生物科技有限公司年产400吨多杀霉素建设项目环境影响评价公众参与在相关网站第二次公示。
本项目主要建设内容包括新建发酵车间、投料间、提取车间、浸泡车间、淀粉车间、锅炉房、库房等,建筑物占地19,360.48m2,总建筑面积41,229.89m2。危废间、污水处理站、办公楼、锅炉房等依托现有工程。
本项目为扩建项目,现有年产160吨阿维菌素项目已验收,本次扩建在现有工程西侧扩建45,845.81m2,不涉及阿维菌素生产线,仅依托现有工程公辅设施,如污水处理站、危废间、一般固废间、储罐区、锅炉房等。
多杀霉素(spinosad)是在刺糖多孢菌(Saccharopolyspora spinosa)发酵液中提取的?种大环内酯类高效?物杀虫剂。其作用机理被认为是烟碱乙酰胆碱受体的作?体,可以持续激活靶标昆?乙酰胆碱烟碱型受体,但是其结合位点不同于烟碱和吡?啉;也可影响GABA受体,但作?机制不清。
多杀霉素可使害?迅速麻痹、瘫痪,最后导致死亡。其杀?速度可与化学农药相媲美,安全性?,且与?前常用杀虫剂无交互抗性,为低毒、?效、低残留的?物杀?剂,既有?效的杀?性能,又有对有益虫和哺乳动物安全的特性,适合无公害蔬菜、水果?产应用。多杀霉素曾因低毒性、低残留、安全性等特点,荣获美国“总统绿色化学品挑战奖”。
氟唑菌酰胺、氯氟联苯吡菌胺等杀菌剂项目拟建
近期,江苏永凯化学有限公司年产2,900吨广谱高效杀菌剂项目在相关网站公示。
本项目占地约60亩,利用现有闲置车间,进行产品结构优化调整,同时对仓库、罐区、公辅工程等进行提升改造;建设氟唑菌酰胺生产线、氯氟联苯菌胺生产线、氟唑菌苯胺生产线、三氟甲氧威生产线;项目建成后可达到年产800吨氟唑菌酰胺、800吨氯氟联苯吡菌胺、800吨氟唑菌苯胺、500吨三氟甲氧威生产能力,同时副产1,000吨/年亚硫酸钠、1,400吨/年氢化钾。
年产1万吨农药等项目陆续试产,江山股份打造新的利润增长点
11月5日,南通江山农药化工股份有限公司(以下简称“江山股份”)召开2025年第三季度业绩说明会,董事长王利、董事兼总经理孟长春等高管就江山股份前三季度主业运营、行业发展等问题作出回应。
江山股份主要产品是以除草剂、杀虫剂为主的农药产品。其中,农药品种有草甘膦、乙草胺、丁草胺、(精)异丙甲草胺、敌敌畏、敌百虫、氯噻啉等原药以及制剂产品;制剂品种包括水剂、乳油、水乳剂、水溶性粒剂、水分散粒剂等。
数据显示,2025年前9个月,江山股份除草剂、杀虫剂、氯碱等产品的产量分别为6.92万吨、1.81万吨、70.03万吨,销售金额分别为20.34亿元、5.54亿元、4.21亿元。2025年前三季度,江山股份实现营业收入45.16亿元,同比增长5.20%;归属于上市公司股东的净利润4.25亿元,同比增长147.91%;归属于上市公司股东的扣除非经常性损益的净利润3.35亿元,同比增长103.62%。
据江山股份财务总监黄海介绍,因草甘膦第三季度价格有所增长,公司第三季度草甘膦毛利率环比有所上升。单季度来看,江山股份第三季度实现营业收入11.57亿元,同比增长2.75%;归属于上市公司股东的净利润8,672.53万元,同比增长11,890.01%。
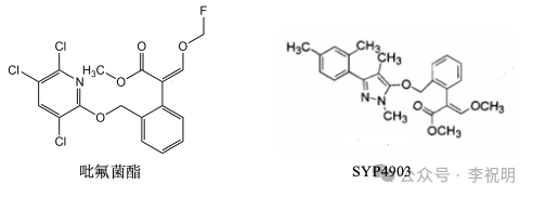
新型甲氧基丙烯酸酯类杀螨剂——嘧螨胺
嘧螨胺 (pyriminostrobin) 是沈阳化工研究院有限公司于2009年在嘧螨酯(fluacrypyrim) 的基础上利用中间体衍生化法开发的新型甲氧基丙烯酸酯类杀螨剂。据报道嘧螨胺对成螨、若螨、螨卵及抗药性较强的二斑叶螨均有较好的防效,且具有速效性好和持效性长的特点。能有效防治柑橘全爪螨、柑橘锈螨、苹果叶螨、蔬菜害螨、棉叶螨、二斑叶螨等害螨。


01 产品简介
英文名称:pyriminostrobin
中文名称:嘧螨胺
化学名称:(E)-2-[2-[[2-(2,4-二氯苯胺基)-6-(三氟甲基)嘧啶-4-基]氧甲基]苯基]-3-甲氧基丙-2-烯酸甲酯
分子式:C23H18 Cl2 F3 N3 O4
相对分子质量:528.308
CAS登录号:1257598-43-8
结构式:

三维结构式:

理化性质:原药为白色晶体;沸点640.8±65.0 °C(Predicted);密度1.423±0.06 g/cm3(Predicted);酸度系数(pKa)0.58±0.10(Predicted)
02 作用机理
与嘧螨酯一样,嘧螨胺也属于线粒体呼吸抑制剂,即通过在细胞色素b和c间电子转移抑制线粒体的呼吸。细胞核外的线粒体主要通过呼吸为细胞提供能量(ATP),若线粒体呼吸受阻,不能产生ATP,细胞失去能量供应,最终导致害螨死亡。
03 应用
应用作物:果树(苹果、梨、柑橘)蔬菜(黄瓜、番茄、茄子、辣椒)谷物(玉米、小麦)等
防治害螨:柑橘红蜘蛛、苹果红蜘蛛、柑橘全爪螨、柑桔锈螨、蕃茄叶刺皮瘿螨、紫红短须螨、首蓿苔螨、鹅耳枥始叶螨、斑氏真叶螨、草地小爪螨、侧多食跗线螨、淡跗线螨、朱砂叶螨、二斑叶螨等
开发剂型:5%嘧螨胺SL、15%嘧螨胺SL

04 专利情况
2009年中国中化股份有限公司沈阳化工研究院有限公司在全球7个国家和地区申请了基于嘧螨胺在内的E-型苯基丙烯酸酯类化合物及其应用专利
专利名称:含取代苯胺基嘧啶基团的E-型苯基丙烯酸酯类化合物及其应用
申请号:CN200910084967.1
授权日:2012/11/07
申请日:2009/06/05
失效日:2024/06/05(因未缴年费失效)
公开历史:CN101906075A
当前专利权人:沈阳中化农药化工研发有限公司
摘要:本发明公开了一种含取代苯胺基嘧啶基团的E-型苯基丙烯酸酯类化合物,结构如通式I所示:式中各取代基的定义见说明书。通式I化合物对农业、民用和动物技术领域中有害的螨虫和昆虫的成虫、幼虫和卵都显示出高杀虫活性,尤其是对害螨如朱砂叶螨等活性更优,在很低的剂量下就可以获得很好的效果。

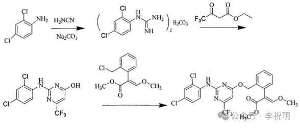
05 合成路线
路线一:专利CN200910084967.1报道了以2,4-二氯苯胺和单氰胺为起始原料,反应生成1-(2,4-二氯苯氨基)胍,然后1-(2,4-二氯苯氨基)胍与三氟乙酰乙酸乙酯反应生成2-[(3,5-二氯苯基)氨基]-4-(三氟甲基)-5-嘧啶酚,然后与氯苄反应最终生成化合物嘧螨胺。合成路线如下:

路线二:CN201210144825.1报道了先将嘧啶酚在碱性条件下成盐,然后与氯苄反应制得嘧螨胺的合成方法,合成路线如下:

06 前景展望
嘧螨胺是我国自主创制的新型杀螨剂,沈阳化工研究院研究团队以取代嘧啶醇为关键中间体合成系列化合物,发现具有杀螨活性的先导化合物后,经结构修饰优化,最终从多个高活性化合物中筛选出了嘧螨胺。且对于嘧啶胺类化合物目前重要中间体国内已完全实现产业化。防效方面嘧螨胺对螨类各生长阶段均有效,尤其对红蜘蛛的成螨、若螨、幼螨防治效果显著,并表现出优异的杀卵活性。虽然已经具备产业化和推广的条件,但杀螨剂市场特殊的点在于害螨的抗药性发展迅速,目前部分地区已产生严重抗性,且面临来自众多已过专利期产品及近年上市新品的竞争压力,另外就目前政策来看全新化合物上市所需要的时间和金钱成本是不符合企业根本利益的。所以嘧螨胺等一系列衍生物命运如何,未来还要交给时间和市场去验证。
游客可直接评论,建议先注册为会员后评论!
以上评论仅代表会员个人观点,不代表中国农药网观点!



