重磅:异噁草酮姊妹品种二氯异噁草酮(Bixlozone)即将登上商业化舞台
2021年7月9日,农业农村部农药检定所公示了2021年第7批拟批准登记新农药产品名单。其中包括美国富美实公司登记的96%二氯异噁草酮原药以及36%二氯异噁草酮悬浮剂......
二氯异噁草酮通用名:Bixlozone;CAS号:81777-95-9;分子式:C12H13Cl2NO2;化学名称: 2-[(2,4-二氯苯基)甲基]-4,4-二甲基-3-异噁唑酮2-[(2, 4-dichlorophenyl) methyl]-4,4-dimethyl-3-isoxazolidinone;结构式如图1。

图1二氯异噁草酮的结构式

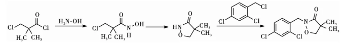
图2 二氯异噁草酮合成路线
该化合物和其他农药新品种不同的是,其与30年前的老品种异噁草酮(Clomazone)的化学结构(如图3)高度类似,仅仅在苯环上相差一个氯原子。他们在1981年的同一篇专利(美国专利US4405357A)中公开,且活性和作用机理相似。2021年,富美实即将对二氯异噁草酮进行上市。据估计,销售额峰值可达4.5-5亿美元,足以可见二氯异噁草酮具有非常可观的市场潜力。

图3 异噁草酮的结构式
二氯异噁草酮(开发代号:F9600)是富美实公司(FMC)研发的异噁唑啉酮类除草剂。该除草剂为选择性苗前处理剂,可广泛用于果树、蔬菜、棉花、水稻、高粱、大麦、小麦、黑麦、玉米和油菜等作物,防除禾本科杂草和阔叶杂草。其杀草谱广,具有触杀作用,对重要的抗性杂草有效。
二氯异噁草酮的作用机理是通过根、幼芽吸收,随蒸腾作用向上传导至植物的各个部位。抑制1-脱氧-D-木酮糖5-磷酸合酶的作用,从而破坏质体类异戊二烯的生物合成,即类胡萝卜素的合成。类胡萝卜素保护植物细胞中的叶绿素,并有助于植物的光合作用过程。当类胡萝卜素的丧失保护功能,植物的叶子则会变白。易感的杂草无法代谢Bixlozone并最终无法进行光合作用而死亡,而耐性农作物会对Bixlozone进行代谢从而继续生长。
优势
1. 防除效果杰出。对一年生黑麦草(包括已经对除草剂产生抗性的生物种类)以及区域性的阔叶类杂草有长效、残效防除效果,杂草控制的效果可持续12周;
2. 对多种轮作作物安全。是目前唯一一种可以用于小麦、大麦和油菜等3种主要冬季作物的除草剂,能为作物轮作提供更大的灵活性;
3. 可用作抗性治理工具。Bixlozone已被HRAC建议归类为除草剂类别Group F4,成为抗性管理的最新轮用产品。
4. 是阔叶类除草剂理想的混用搭档。陈定军等人在2015年做了二氯异噁草酮对油菜田杂草的防效及后茬作物的影响的试验,该研究表明,36%二氯异噁草酮SC对油菜田杂草有较好的防治效果,其中对阔叶草的除草效果要优于禾本科杂草。
目标市场
Bixlozone目标市场包括欧洲、美国、巴西和亚太地区。富美实向澳大利亚递交Bixlozone登记申请的同时,也向欧盟等递交了登记申请。据Overwatch®全球规划,将于2021年冬季种植季节在澳大利亚上市,2023年在欧洲上市,2023年以后在亚洲上市,2025年以后在巴西上市。
专利情况
1.US4405357,Bixlozone化合物专利。由FMC申请,申请日为1981年5月11日,专利早已到期。专利名称为3-异噁唑啉酮和异羟肟酸类除草剂(Herbicidal3-Isoxazolidinones and Hydroxamic Acids)。同时还公开了包括Bixlozone化合物在内的这一类化合物对豆科植物和无性繁殖作物的高选择性除草效果;
2.CN103458691B,CN105248429B,FMC对Bixlozone进行的专利布局中的其中两项专利,且都是2032年4月到期。从权利要求的内容来看,其保护的是Bixlozone在玉米、水稻、高粱、大麦、黑麦和油菜这六种作物中除草的用途。涉及到的化合物除了Bixlozone以外,还有另一个类似物:2-(2,5-二氯苯基)甲基-4, 4-二甲基-3-异噁唑酮。
建议有兴趣开发这个品种的厂家,可以考虑在豆科植物上的应用予以考虑。
登记情况
1. 2020年4月7日,富美实Bixlozone(商品名:Isoflex?)除草剂Overwatch® Bixlozone 400g/L SC获得澳大利亚正式登记,这是Bixlozone在全球的首个登记;
2. 2021年7月9日,中国农业农村部农药检定所公示了美国富美实公司登记的96%二氯异噁草酮原药以及36%二氯异噁草酮悬浮剂,用于冬小麦田防除一年生阔叶杂草。
2021年小麦季节几个月后即将到来,二氯异噁草酮的防除效果如何,即将接受市场的考验。未来我们共同期待!
游客可直接评论,建议先注册为会员后评论!
以上评论仅代表会员个人观点,不代表中国农药网观点!



