投资4.16亿!年产5000吨/年氯虫苯甲酰胺、5000吨/年溴氰虫酰胺项目公示!更多农药产品新建、登记及市场动向......
编者按:如果企业是一棵大树,那么产品就是企业的根和生命之源,企业之间的竞争归根结底还是产品的竞争。因此,如何更好地捕获、掌握并进行深入分析研究各种有价值的产品信息,如何研发、生产、登记和推广应用好一个产品,这些对企业都至关重要。我们将在每周日汇总推出行业和企业热点和重点产品有关新建、登记、市场和应用的最新动态,以供企业决策和经营。
一 周 农 药
投资4.16亿!山东亿盛年产5000吨/年氯虫苯甲酰胺、5000吨/年溴氰虫酰胺项目公示
近日,关于山东亿盛实业股份有限公司改、扩建年产35000吨草铵膦及新建年产10000吨杀虫剂系列产品建设项目(二期工程)在相关网站公示。
改、扩建年产35000吨草铵膦及新建年产10000吨杀虫剂系列产品建设项目(二期工程)。
在山东亿盛实业股份有限公司南厂区新建杀虫剂车间1座、罐区、丙类仓库1座,其余建构筑物均依托厂区现有保留。在杀虫剂车间建设生产线2条,分别生产氯虫苯甲酰胺、溴氰虫酰胺,项目建成后可实现年产5000吨/年氯虫苯甲酰胺、5000吨/年溴氰虫酰胺。
利尔化学入局!投资3亿元,35000吨/年氰化钠及配套工程项目公示
近日,关于湖北利拓化工科技有限公司湖北利拓35000吨/年氰化钠及配套工程项目在相关网站公示。
项目总投资30000万元,新建氰化钠生产厂房及配套公辅工程设施,项目建成后将形成35000t/a氰化钠生产能力。
氰化钠是一种高度有毒且易溶于水的白色结晶粉末,广泛用于工业过程。2029年全球氰化钠市场规模预计达到30.8亿美元,复合增长率为4.5%。主要应用领域包括黄金和白银矿业、化学合成和电镀。
全球范围内氰化钠生产商主要包括Cyanco、Draslovka、河北诚信集团、Australian Gold Reagent、Orica、安徽曙光化工、天德化工、美联新材、Tongsuh Petrochemical、Taekwang Industrial、Lukoil等。
投资6.8亿!七洲年产37000吨新型除草剂、杀菌剂系列产品公示
近日,关于七洲绿色化工(济宁)有限公司年产37000吨新型除草剂及杀菌剂系列产品改、扩建项目在相关网站公示。
本项目利用厂区内现有土地,主要购置反应釜、精馏塔、换热器、离心机、制冷机组、空压制氮机组、循环水冷却塔、各类物料泵等主要设备750台(套),并扩建中心控制室、配电室等辅助设施,建成后可实现年产37000吨新型除草剂、杀菌剂系列产品(5000t/a砜吡草唑、2000t/a唑啉草酯、10000t/a二氟吡唑酸、10000t/a间二氯苯、10000t/a40%甲基肼)。本项目计划分两期设施,其中一期为砜吡草唑和间二氯苯,二期产品为唑啉草酯、40%甲基肼和二氟吡唑酸。
投资5000万!甘肃汉隆医药、农药中间体和农药原药生产线项目三期公示
近日,关于甘肃汉隆化工有限公司医药、农药中间体和农药原药生产线项目(三期)在相关网站公示。
该项目新增建筑面积3000平方米,建设年产1000吨间氰甲基苯甲酸甲酯,500吨3-(1-氰乙基)苯甲酸,3000吨二(2,4,4-三甲基戊基)次磷酸,300吨对叔丁基-2-(α-甲基苄基)苯酚生产线,配套建设厂房、库房、环保、安全、节能、消防等附属设施。
产品方案及应用

间氰甲基苯甲酸甲酯是是合成酮洛芬的关键中间体;3-(1-氰乙基)苯甲酸是用作解热镇痛药酮基布洛芬中间体;二(2,4,4-三甲基戊基)次磷酸用作萃取剂,可用于镍钴分离,稀土分离;对叔丁基-2-(α-甲基苄基)苯酚用于稀有金属铷、铯等的萃取分离、纯化。
现有项目情况

新型乙酰苯胺类除草剂——吡唑草胺
吡唑草胺(metazachlor)是巴斯夫公司于1979年上市的乙酰苯胺类除草剂。主要用于防除油菜、甘蓝、大豆、马铃薯、烟草、果蔬等作物田一年生禾本科杂草看麦娘、马唐、野燕麦、稗草、早熟禾、狗尾草,阔叶杂草荨麻、苋菜、洋甘菊、繁缕、婆婆纳、蓼科、茄科杂草等,苗前或苗后早期施用,具有选择性高,持效期长的特点,持效期可达60天以上,一次施药可以控制全生育期的主要杂草危害,是规模化农业种植中,具有推广潜力的化合物。

01 产品简介
英文名称:metazachlor
中文名称:吡唑草胺
其他名称:滅草胺
化学名称:N-(2,6-二甲基苯基)-N-(吡唑-1-基甲基)-2-氯乙酰胺
分子式:C17H16ClF3O6S
相对分子质量:440.819
CAS登录号:335104-84-2
结构式:

三维结构式:

理化性质:原药外观为白色晶体,比重1.31,熔点85℃,蒸气压4.9×10-5Pa,在20℃时,溶解度为丙酮1000g/kg、氯仿1000g/kg、乙醇200g/kg、水17mg/L。一般情况下对酸稳定。
02 作用机理
吡唑草胺属于极长链脂肪酸合成抑制剂,其通过抑制极长链脂肪酸延长合成酶(very-long-chain fatty acid elongase,VLCFAE)的活性,降低生物合成,阻碍杂草的苗期伸长,达到抑制生长的作用。
03 应用
应用作物:油菜、甘蓝、大豆、马铃薯、烟草、果蔬
杀草谱:一年生禾本科杂草,如看麦娘、野燕麦、马唐、稗草、早熟禾和狗尾草;阔叶杂草,如苋菜、母菊、蓼、繁缕和婆婆纳。
常见剂型:500克/升吡唑草胺SC、40%吡唑草胺SC
04 登记情况
国内登记情况:

目前国内吡唑草胺在有效期内的登记证件有两个,97%吡唑草胺原药为山东中石药业所有,500g/L吡唑草胺悬浮剂由江苏蓝丰生化所有。
05 合成路线
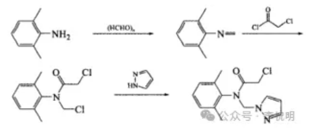
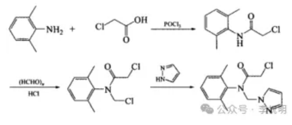
现有吡唑草胺的合成路线主要有三条:分别为甲叉法、酰化法和吡唑氯甲基化三种合成方案,其中甲叉法和酰化法,由于其成本低,工业流程简单,工艺条件温和等特点是目前工业化生产的主流路线。
路线一:甲叉法,以2,6-二甲基苯胺为原料,与多聚甲醛形成席夫碱,再与氯乙酰氯反应,最后与吡唑缩合得到目标化合物吡唑草胺。合成路线如下:

路线二:酰化法、以2,6-二甲基苯胺为原料,经酰化、氯甲基化、缩合三步反应得到目标化合物吡唑草胺。合成路线如下:

06 未来复配推介
吡唑草胺+二甲戊乐灵:该组合应用于油菜田播后苗前使用,对油菜田主要杂草有增效或相加作用,扩大了除草谱,减缓抗性的产生。
吡唑草胺+嗪草酮:该组合应用于马铃薯田,防治一年生禾本科杂草马唐,阔叶杂草灰绿藜等,对马铃薯的安全性高,对杂草防治效果明显。
吡唑草胺+噻吩磺隆:该组合应用于大豆田,防治部分一年生杂草和阔叶杂草,减缓抗性的产生,性价比高,防效明显。
吡唑草胺+丙炔噁草酮:该组合用于防除马铃薯田一年生杂草,防治效果明显优于吡唑草胺或丙炔噁草酮单剂,扩大了除草谱,省时省工,减少用药量。
吡唑草胺+丙炔氟草胺:该组合应用于大豆田防治杂草,防除效果好,持效期长,能控制整个生育期的杂草。
吡唑草胺+异丙酯草醚+氯酯磺草胺:该组合应用于油菜田,对油菜田间杂草稗草、早熟禾、看麦娘、鸭跖草、繁缕具有很好的防除效果。
吡唑草胺+麦草畏:该组合应用于玉米田,在玉米苗后特别是抗硝磺草酮和双草的玉米种植区,随着草项的变化改组合能解决部分抗性杂草难以防除的问题。
07 前景展望
此前吡唑草胺的销售市场主要是在欧盟,应用作物主要为油菜田防治一年生禾本科杂草,应用时期为播后苗前或油菜移栽前1-3天施药,国内目前应用推广较少,该除草剂的应用推广,除了应对草项的变化以及草项对现有除草剂的抗性外,规模化的种植更能助推该类除草剂的推广,随着土地集约化和现代化、规模化的种植,种植户对于除草剂安全性也越来越重视,吡唑草胺作为苗前封闭除草剂,对目标作物选择性高,有效控制杂草基数,减少后期杂草的防控难度,是增产增收的有力保障,随着生产技术和工艺的改进,其应用成本也将进一步降低,在未来吡唑草胺在油菜、大豆、马铃薯、烟草等种植区有一定的推广机会。
游客可直接评论,建议先注册为会员后评论!
以上评论仅代表会员个人观点,不代表中国农药网观点!



