年产4000吨氯虫苯甲酰胺及丙硫菌唑原药项目试生产!更多农药产品新建、登记及市场动向......
编者按:如果企业是一棵大树,那么产品就是企业的根和生命之源,企业之间的竞争归根结底还是产品的竞争。因此,如何更好地捕获、掌握并进行深入分析研究各种有价值的产品信息,如何研发、生产、登记和推广应用好一个产品,这些对企业都至关重要。我们将在每周日汇总推出行业和企业热点和重点产品有关新建、登记、市场和应用的最新动态,以供企业决策和经营。
一 周 农 药
年产4000吨氯虫苯甲酰胺及丙硫菌唑原药项目试生产
2025年11月13日,南通雅本化学有限公司年产2,000吨氯虫苯甲酰胺、2,000吨丙硫菌唑原药项目试生产环保措施落实情况报告在相关网站公示。
根据报告,项目及配套公用工程、新增环保设施于2025年11月10日竣工,拟于2025年11月13日起开始调试。
建设内容:拟在南通雅本化学有限公司现有厂区内,新建生产厂房4,333.8m2,新建罐区、循环水池、冷冻水池、动力车间2,234.38m2,新购置反应釜、冷凝器、离心机、精馏塔等设备约190台(套),建设2,000吨/年氯虫苯甲酰胺原药、2,000吨/年丙硫菌唑原药生产装置,配套建成相关的公用工程、环保、仓储等设施。
氯虫苯甲酰胺和丙硫菌唑均采用雅本自主研究技术,该技术已通过公司小试、中试验证,以确定安全的工艺条件和可靠的设备装置,并均于2023年4月通过江苏省化工行业协会组织的工艺安全论证。
潍坊新绿年产15000吨农药原药及制剂项目
近日,关于潍坊新绿化工有限公司年产15000吨农药原药及制剂项目在相关网站公示。
建设内容及规模:拟建工程占地1935.48平方米,新建一座车间,新上先进自动化装备、反应釜、中间物料接收罐、换热器、机泵等设备258台套,新建两套生产装置:原药生产装置、三氯吡氧乙酸丁氧基乙酯制剂装置。本项目罐区依托现有罐区,不再新建罐区办公区及公用工程依托厂区现有。
生产规模:年产三氯吡啶醇钠1000t/a、三氯吡氧乙酸丁氧基乙酯8000t/a、三氯吡氧乙酸1000t/a、三氯吡氧乙酸钾盐1000t/a、三氯吡氧乙酸丁氧基乙酯制剂4000t/a。
斥资3.1亿元投建项目,虫螨腈原药产能将超10000吨
近日,山东潍坊双星农药有限公司(简称“双星农药”)年产8,000吨虫螨腈原药、6,000吨氯甲基乙醚项目在相关网站公示。项目建成后,将形成总年产过万吨虫螨腈原药生产能力,填补全球虫螨腈原药产能缺口,助力抗性害虫防治,推动农业绿色发展。
该项目建成后,双星农药将形成年产过万吨虫螨腈原药及配套产品的生产能力,致力于建设全球领先的虫螨腈原药生产基地,实现规模、技术与成本竞争力的全面领先。
苯基吡唑类杀虫剂—氟虫腈
氟虫腈(fipronil)是1986年由罗纳-普朗克公司(曾与赫斯特公司的农业部门合并,成立了安万特公司,后又被拜耳收购)开发的苯基吡唑类杀虫剂,氟虫腈具有活性高、持效期长、杀虫谱广、对作物安全性高等特点,对半翅目、同翅目、双翅目、直翅目、鳞翅目、缨翅目、鞘翅目等害虫都有很高的防效,同时对许多病菌(如腐霉菌、白叶枯病菌)均有抑制作用,并能促进植物生长。作为农药发展史上最经典的农药之一,氟虫腈曾在农业生产中为全球种植者带来了显著的增产效果。但由于氟虫腈及其代谢产物对环境的毒性较高,氟虫腈在各个国家相继被禁用,2009年我国停止销售和使用。虽然后来上市的康宽、溴虫腈弥补了一部分氟虫腈的市场空缺,但氟虫腈的禁用仍旧成为很多企业或种植者心中的“意难平”,也因而围绕氟虫腈的研发探索一直未间断,像乙虫腈、丁虫腈、乙酰虫腈、吡啶唑虫胺、吡唑虫啶、氟吡唑虫、唑虫烟酰胺、Fiprl-1等,由于毒性、防效、合规等原因这些化合物目前都没有能在重现像氟虫腈一样的辉煌。
01 产品简介
英文名称:pyrisoxazole
中文名称:啶菌噁唑
其他名称:灰霉净
化学名称:(3R,5E)-5-(4-氯苯基)-2,3-二甲基-3-(吡啶-3-基)异噁唑烷
分子式:C16H17Cl N2O
相对分子质量:288.772
CAS登录号:847749-37-5
结构式:

三维结构式:

理化性质:淡黄色至浅黄色固体,熔点:54-56°C,沸点:401.4±55.0°C(Predicted),密度:1.189±0.06g/cm3(Predicted),酸度系数:(pKa)4.91±0.12(Predicted),易溶于丙酮、二氯甲烷、氯仿、乙酸乙酯、乙醚,不溶于水,微溶于石油醚。
02 作用机理
啶菌噁唑属于膜中甾醇生物合成抑制剂,作用于膜中甾醇生物合成中的C14-去甲基酶。该靶点与三唑类类杀菌剂相同,当C14-去甲基酶被抑制后,麦角甾醇无法合成,而有毒的固醇前体(如14α-甲基甾醇)会大量积累,导致细胞膜结构异常、通透性增加,最终使细胞内容物外泄而死亡。
啶菌噁唑既能阻止病菌孢子萌发和侵入(保护作用),也能在病菌侵染后杀死菌丝,阻止病斑扩大(治疗和铲除作用)。同时具有较强的内吸传导性,被植物组织吸收并传导后,对已侵入植物体内的病菌同样有效。
03 应用
应用作物:玉米、小麦、水稻等谷物,番茄、黄瓜、草莓、韭菜、莴苣、葫芦、等蔬菜,大豆、花生、棉花等大田作物,葡萄、苹果、梨等果树,以及园林和观赏作物等
防治病害:灰葡萄孢所引起的灰霉病,黄瓜枯萎病菌、黑星病菌,草莓叶霉病,小麦根腐病、赤霉病、纹枯病,花生褐斑病,棉花枯萎病,玉米小斑病、丝黑穗病,葡萄白腐病、褐斑病,苹果斑点落叶病、轮纹病等
开发剂型:25%啶菌噁唑EC、25%啶菌噁唑EW
使用方法:于植物发病前或发病初期,防治灰霉病协防白粉病,选择叶面喷雾,25%乳油使用量为53-107毫升/亩,25%水乳剂使用量在80-120毫升/亩
04 登记情况
目前国内登记啶菌噁唑原药1家,为江苏扬农子公司辽宁优创,制剂登记7个,其中单剂两个25%EC和25%EW登记公司都为扬农,复配产品有咯菌腈、嘧菌环胺、啶酰菌胺、福美双、吡唑醚菌酯,登记企业主要为扬农系和海利尔系。


05 专利情况
化合物专利
1、1999年7月沈阳化工研究院申请了基于啶菌噁唑在内的3,3’二取代、含3-吡啶基的异噁唑啉类化合物专利
专利名称:用作杀菌剂的杂环取代的异噁唑啉类化合物
申请号:CN99113093.6
申请日:1999.07.14
公开号:CN1280767A
公开日:2001.01.24
摘要:本发明合成了具有通式(Ⅰ)的杂环取代的异噁唑啉类化合物及其立体异构体,式中X选自N或CH,R、R1、R2、R3、R4和R5各自独立地选自氢、烷基、卤烷基、烯基、炔基、烷氧烷基、环烷基、环烷基烷基、芳基、芳基烷基和杂环基。它们可以单独使用或与其它活性组分一起用作杀菌剂。

2、沈阳化工研究院于2004年申请的用作杀菌剂的芳基取代的异噁唑啉类化合物也包含啶菌噁唑在内。
专利名称:用作杀菌剂的芳基取代的异噁唑啉类化合物
申请号:CN200410020467.9
申请日:2004.04.27
公开号:CN1690050A
公开日:2005.11.02
摘要:本发明公开了具有通式(I)的化合物及其几何异构体、旋光异构体以及农业上可接受的盐。式中:X选自氢,卤素,氰基,硝基,(C1-C4)烷氧基,(C1-C4)烷基或卤(C1-C4)烷基,n为1-5的整数;Y选自碳或氮;R、R1、R2、R3、R4和R5各自独立的选自氢、烷基、卤烷基、烯基、炔基、烷氧基、环烷基或芳基。它们可以单独使用或与其它活性组分混合用作农用杀菌剂。

制备专利:
1、2005年沈阳化工研究院申请了啶菌噁唑的制备专利。
专利名称:一种制备芳环取代的异噁唑啉类化合物的方法
申请号:CN200510046262.2
授权日:2008/05/21
申请日:2005/04/15
失效日:2024/04/15
公开号:CN1847231A
当前专利权人:沈阳中化农药化工研发有限公司
2、2019年沈阳申请了啶菌噁唑的合成专利并涉及到其顺式异构对映体和反式异构对映体的混合物及不同纯度含量的杀菌效果的报道,并提供一种异噁唑啉类化合物的手性单体。
专利名称:一种异噁唑啉类化合物异构体及其制备方法
申请号:CN201910353139.7
申请日:2019/04/28
失效日:2039/04/28
公开号:CN111848597A
当前专利权人:沈阳科创化学品有限公司
3、2020年沈阳中化申请了涉及一步法合成啶菌噁唑的合成专利
专利名称:一种异噁唑啉类化合物的制备方法
申请号:CN202011621419.0
授权日:2024/02/06
申请日:2020/12/31
失效日:2040/12/31
公开号:CN114685471A
当前专利权人:沈阳科创化学品有限公司
06 合成路线
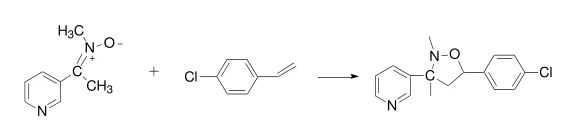
路线一:专利CN1280767A报道了以 C,N-二甲基-(3-吡啶基)硝酮和对氯苯乙烯为原料,以甲苯作溶剂,在回流的条件下合成啶菌噁唑的方法,反应式如下:

该方法的优点是反应步骤少,原料对氯苯乙烯易得,反应条件比较温和。缺点是由于对氯苯乙烯容易发生自聚合,导致啶菌噁唑合成收率仅为 20%左右,菌唑产品分离困难、含量较低。
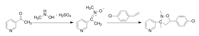
路线二:专利CN100389110C报道了以3-乙酰基吡啶、N-甲基羟胺硫酸盐为原料,首先合成中间体-硝酮,然后以乙酸为催化剂,以对叔丁基邻苯二酚为阻聚剂,与对氯苯乙烯发生[3+2]环化反应,合成得到啶菌噁唑,反应式如下:

该合成方法的优点是由于催化剂和阻聚剂的引入,啶菌唑的合成收率得到了较大的提高,达到到60%左右,且解决了产品分离困难的问题,啶菌噁唑含量达到 95%以上,更加适合产业化生产。缺点是生产成本仍然偏高,而且废水量较多,三废处理的难度比较大。
路线三:专利CN114685471A报道了以 3-乙酰吡啶、对氯苯乙烯、N-甲羟胺硫酸盐为起始原料,“一步法”合成啶菌噁唑的方法,即:直接投入3-乙酰基吡啶、对氯苯乙烯、醋酸钠和 N-甲羟胺硫酸盐等原料,一步法反应合成啶菌噁唑,反应路线如下:

与传统合成方法相比,“一步法’操作简单,不需要对中间体-硝酮进行处理,反应速度可以通过N-甲羟胺硫酸盐的加入方式进行控制,适合于工业化生产。
07 复配推介
可以选择与菌核净、 腐霉利、异菌脲、乙烯菌核利、菌核利、菌核净、抑霉唑、乙菌利、乙霉威、嘧霉胺、氟啶胺、甲基硫菌灵、多菌灵、噻菌灵、噻霉酮、咪鲜胺、克菌丹、嘧菌酯、 肟菌酯、双胍三辛烷基苯磺酸盐、咯菌腈、氟喹唑、环菌唑、灭菌唑、嘧菌胺、嘧霉胺、环酰菌胺、环啶菌胺、啶酰菌胺、氟吡菌酰胺、吡噻菌胺、异丙噻菌胺、氟唑菌酰胺等。
08 前景展望
啶菌噁唑是沈阳化工研究院于多个新化合物中筛选出来的异噁唑啉类化合物,凭借其独特作用机制、高效生物活性及良好环境相容性,尤其在灰霉病防治领域展现出核心竞争力。
结构方面,啶菌噁唑是典型的手性化合物,结构中含有2个手性碳原子,存在2个几何异构体和4个手性异构体。2022年最新研究成功分离出4个手性异构体单体:(3S,5R)-PZ、(3R,5S)-PZ、(3R,5R)-PZ和(3S,5S)-PZ,并通过X射线单晶衍射等技术确定了其绝对构型。同时研究表明,啶菌噁唑结构中的氧原子是导致异噁唑啉类化合物具有杀菌活性的关键因素。当异噁唑啉环上的氧原子获得更突出的空间结构时,表现出更好的生物活性。(3S,5R)-PZ的C3-O1-N1键角最小,氧原子接触和暴露于周围环境的面积最大,更容易与生物目标发生作用,因此生物活性更高。
防效方面,啶菌噁唑在离体情况下对植物病原菌有极强的杀菌活性,对由灰葡萄孢引起的灰霉病有特殊的防治效果。研究表明,单体(3S,5R)-PZ为高活性单体,其杀菌活性、治疗活性、内吸性、保护活性均明显好于其他单体,并且优于啶菌噁唑外消旋体和德国巴斯夫公司的啶酰菌胺。另外啶菌噁唑还对番茄叶霉病;小麦、黄瓜白粉病;黄瓜、梨黑星病;苹果斑点落叶病;花生叶斑病;花生褐斑病;水稻稻瘟病等多种病害有效,可与其他产品复配,应用范围可进一步扩大。
合成方面,最新的研究报道了"一步法"以3-乙酰基吡啶、N-甲基羟胺硫酸盐、对氯苯乙烯为原料合成啶菌噁唑的新方法,该工艺使啶菌噁唑收率达到72.8%。为啶菌噁唑进一步工业化提供了依据。综上所述,随着对啶菌噁唑手性异构体研究的突破、产能扩张及专利期的临近,其应用前景广阔,有望从番茄灰霉病专用药剂向多作物、多病害防控方向拓展,成为我国绿色农药产业的重要支柱。
游客可直接评论,建议先注册为会员后评论!
以上评论仅代表会员个人观点,不代表中国农药网观点!



