泰禾国际与先正达植保共同合作的杀虫剂——环丙氟虫胺,到底有何优势?
2022年7月25日,泰禾国际与先正达植保举行了《环丙氟虫胺中国深度战略合作协议》签约仪式,双方达成共识,共同发力为环丙氟虫胺的推广上市做各项准备工作......
环丙氟虫胺开发代号为CAC-I-785,是南通泰禾化工股份有限公司创制的第一个具有自主知识产权的全新杀虫剂。其作用机理独特,与现有杀虫剂品种无交互抗性,且用药量低,对环境安全,目前已进入实质性登记阶段。中文通用名“环丙氟虫胺”于2019年获得全国农药标准化技术委员会批准,英文通用名“cyproflanilide”于2020年6月获得国际标准化组织(ISO)农药命名技术委员会批准。预计于2024年前后取得中国登记正式上市,预估销售额将突破10亿元人民币。同时,公司亦在东南亚、南美洲等全球主要市场开展相关登记上市开发工作。
理化性质
环丙氟虫胺英文通用名:Cyproflanilide;CAS号:2375110-88-4;分子式:C28H17BrF12N2O2,相对分子质量:721.33;氟含量:31.61%;IUPAC名称:3′-[({2-溴-4-[1,2,2,2-四氟-1-(三氟甲基)乙基]-6-(三氟甲基)苯基}氨基)羰基]-N-(环丙烷甲基)-2′,4-二氟苯甲酰苯胺;CAS名称:N-[3-[[[2-溴-4-[1,2,2,2-四氟-1-(三氟甲基)乙基]-6-(三氟甲基)苯基]氨基]羰基]-2-氟苯基]-N-(环丙基甲基)-4-氟苯甲酰胺;结构式如图1。

图1-环丙氟虫胺的结构式
作用机制
环丙氟虫胺是以双酰胺类杀虫剂为先导创制的间二酰胺类杀虫剂,作用机理不同于传统双酰胺类杀虫剂,国际杀虫剂抗性行动委员会(IRAC)将其分类为第30组,为γ-氨基丁酸(GABA)门控氯离子通道变构调节剂。
创制经纬
环丙氟虫胺的在设计时参考了双酰胺类杀虫剂的研发路径,将环溴虫酰胺结构中环丙甲基引入间二酰胺的骨架中(图2,通式I)。对修饰化合物杀虫活性测试结果显示,引入环丙甲基后的化合物对二化螟的杀虫活性显著提高,同时,对鱼、藻、溞的安全性也得到明显改善。在此基础上合成了大量的通式I化合物,经过多轮构效关系分析,结合安全性评价结果,最终发现了活性优异、综合性能最佳的环丙氟虫胺。

图2-环丙氟虫胺的创制经纬
主要特点
作用机制新颖,与现有常用杀虫剂无交互抗性。环丙氟虫胺作用机制新颖,与杀虫剂氯虫苯甲酰胺、阿维菌素等等无交互抗性;
杀虫谱广,市场前景广阔。环丙氟虫胺可用于防治鳞翅目、鞘翅目和缨翅目等害虫,对于鳞翅目二化螟特别是抗性地区二化螟、稻纵卷叶螟、甜菜夜蛾、小菜蛾、草地贪夜蛾、苹果小卷叶蛾、鞘翅目跳甲、缨翅目蓟马等防效优异;
生物活性高,且持效期长。环丙氟虫胺具有优异的胃毒、触杀和内吸活性,渗透性好;其速效好,起效快;很低的用量即有优异的防效,在15~60克/公顷剂量下即对二化螟特别是抗性二化螟具有优良防效,在15-30克/公顷剂量下对稻纵卷叶螟具有优异的防效,持效期长;
对作物及非靶标生物均安全。作物安全性:环丙氟虫胺对作物安全,可广泛应用于水稻、玉米、棉花、大豆、果树、蔬菜等作物;非靶标生物:蔬菜试验地可见蜜蜂、蜘蛛、蜻蜓等,水稻田对鱼、虾、蟹等水生生物安全。急性经口、经皮、吸入毒性试验结果显示:环丙氟虫胺微毒,对皮肤无刺激性、无致敏性,对眼睛有轻度刺激,但24小时可恢复。Ames试验、微核试验、染色体畸变试验、基因突变试验结果均为阴性。环境毒性试验结果显示,环丙氟虫胺对斑马鱼、泥鳅、羊角月牙藻、大型溞、小龙虾、中华绒鳌蟹等安全;
可用于抗性管理。环丙氟虫胺对水稻二化螟、稻纵卷叶螟等高效,将为抗性二化螟、稻纵卷叶螟提供绿色解决方案,为我国水稻粮食安全提供保障。同时,环丙氟虫胺对小菜蛾、甜菜夜蛾、跳甲、蓟马等害虫同样高效,可以用于防治蔬菜、果树等作物上的抗性害虫。
合成方法
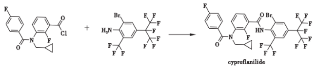
环丙氟虫胺的制备主要是由关键中间体取代苯甲酰氯和2-溴-4-七氟异丙基-6-三氟甲基苯胺在强碱如二异丙基胺基锂的作用下直接获得。

前景展望
环丙氟虫胺高效、低毒、杀虫谱广、渗透性好、起效快、持效期长,有效防治鳞翅目、鞘翅目、缨翅目等害虫,尤其是对抗性水稻二化螟等抗性害虫具有优异的防效,可用于害虫抗性治理。相信不久的将来,环丙氟虫胺取得登记和上市后,将凭借优秀的表现,行遍中国,走向世界,服务于更广大的全球植保市场。
游客可直接评论,建议先注册为会员后评论!
以上评论仅代表会员个人观点,不代表中国农药网观点!



