投资1.2亿,年产1000吨虫螨腈,500吨氟吡菌酰胺项目拟建!更多农药产品新建、登记及市场动向......
编者按:如果企业是一棵大树,那么产品就是企业的根和生命之源,企业之间的竞争归根结底还是产品的竞争。因此,如何更好地捕获、掌握并进行深入分析研究各种有价值的产品信息,如何研发、生产、登记和推广应用好一个产品,这些对企业都至关重要。我们将在每周日汇总推出行业和企业热点和重点产品有关新建、登记、市场和应用的最新动态,以供企业决策和经营。
一 周 农 药
投资1.2亿,河北天厦年产1000吨虫螨腈,500吨氟吡菌酰胺项目拟建
近日,关于河北天厦精细化工有限公司年产1000吨虫螨腈,500吨氟吡菌酰胺项目在相关网站审批公示。
本项目拟在现有厂区内新建生产车间一座及配套的仓储等附属设施,购置主要设备有反应釜、自动式离心机、真空泵、烘干机、包装机、制冷机、储罐等及其配套设备共计352台(套),建设1条虫螨腈生产线与1条氟吡菌酰胺生产线。项目建成后年产1000吨虫螨腈、500吨氟吡菌酰胺。

(来源:公司公告、原料药情报局整理)
总投资9500万元,新建年产20000吨农药中间体生产线
2026年4月3日,广安利尔化学有限公司20,000吨氯代吡啶专用化学品建设项目环境影响评价公众参与第二次信息在相关网站公示。该项目已备案,备案号川投资备【2601-511624-04-01-308453】FGQB-0011。
本项目属于园区重点发展的化工项目,符合《新桥工业园区总体规划(2022—2035)环境影响报告书》及其审查意见的函(川环建函〔2025〕34号)要求,因此项目公众参与可进行简化,首次网络公示和第二次公示一并进行。
在广安利尔化学有限公司C地块新建氯代吡啶专用化学品生产线1条,实现年产 17,000吨2,3,6-三氯吡啶或10,000吨2,3-二氯吡啶,联产1,000吨五氯吡啶、2,000吨四氯吡啶的生产;配套建设产品罐区,依托广安利尔现有“三废”治理设施及公辅设施。
本项目采用两种产品方案进行生产,其中产品方案一年产2,3,6-三氯吡啶17,000吨,联产五氯吡啶1,000吨/年、2,3,5,6-四氯吡啶2,000吨/年;产品方案二将2,3,6-三氯吡啶作为中间产品进一步制备2,3-二氯吡啶,实现10,000吨/年 2,3-二氯吡啶、1,000吨/年五氯吡啶和2,000吨/年2,3,5,6-四氯吡啶的生产,两种产品方案根据市场需求进行柔性生产。
氯代吡啶作为一种重要的有机中间体,广泛应用于农药、医药、染料、香料等领域。
(来源:广安经济技术开发区管理委员会等)
雅本化学拟定增募资10.05亿元,加码高端农药/医药中间体产能
4月3日,雅本化学披露2026年度向特定对象发行A股股票方案相关公告。公司拟向包括实际控制人之一蔡彤在内的不超过35名特定对象发行股票,募集资金总额不超过10.05亿元,扣除发行费用后将投向7大项目,聚焦创新农药、创新医药 CDMO 两大核心方向,通过专业化、规模化、集约化的产能建设。

加码高端农药/医药中间体产能
从募投项目构成来看,产能建设是本次定增的重中之重,五个项目合计拟投入募集资金8.14亿元,占募资总额的81%。产品布局精准对应当前农化与医药行业的供需痛点。
公司在公告中称,本次募投项目建设是公司抢抓行业战略机遇、纵深推进″2+X″核心战略、筑牢长远发展根基的关键布局,项目紧紧围绕公司创新农药、创新医药 CDMO 两大核心主业,精准聚焦高端创新中间体、特色原料药等核心赛道,着力补齐中试成果转化、规模化智能制造、产业链关键环节配套等短板弱项,依托合成生物学、绿色减碳等前瞻技术赋能,持续强化技术壁垒与产品矩阵优势,并进一步深化与全球头部农药、医药企业的长期战略合作,全面夯实主业抗风险能力,增强公司核心竞争力。
其中,年产 700 吨高端农药中间体项目计划总投资额为 16,993.08 万元,拟使用募集资金 15,900.00 万元,项目聚焦高端绿色农药中间体产能建设,重点布局氨基呋喃与甲基吡啶胺两大高端农药中间体产品,项目建成后可形成年产氨基呋喃 500 吨、甲基吡啶胺 200 吨的稳定产能,进一步深化与重点客户的战略合作。
研发升级与补充流动资金双管齐下
除了产能建设,本次募投还兼顾研发实力与财务结构的同步提升。
研发中心建设项目拟投入3,100万元,实施主体为上海朴颐化学科技有限公司,选址上海浦东新区。项目以AI大模型技术赋能为核心,搭建中央集成管控平台、全流程可追溯实验数据库及GLP合规数据体系,构建″研发—数据—验证—迭代″闭环管理机制,旨在压缩研发周期、降低试错成本。
补充流动资金项目拟投入1.6亿元。公司表示,目前业务正处于高质量发展的关键阶段,业务规模持续扩大、研发投入稳步增加,仅依靠自身经营积累难以充分满足资金需求。补充流动资金将有效缓解营运资金压力,优化资产负债结构。
实际控制人蔡彤拟认购不低于3000万元
本次发行对象包括公司实际控制人之一、董事长兼总经理蔡彤,其拟以不低于3,000万元现金认购,且不参与竞价,接受其他发行对象的竞价结果,锁定期36个月。该认购触发要约收购义务,公司已提请股东会批准免于发出要约。
本次发行数量不超过发行前总股本的30%(即不超过288,992,841股),发行价格不低于定价基准日前20个交易日公司股票交易均价的80%。发行完成后,公司实际控制权不会发生变化。
(来源:世界农化网)
新型氰基嘧啶类杀虫剂——环虫腈
环虫腈(dicyclanil)是1987年由汽巴嘉基公司研发的新型氰基嘧啶类杀虫剂,最早的环虫腈被作为兽药开发用于家蝇、蚊子和跳蚤的幼虫防治,所以环虫腈还有一个更令人熟知的名字—地昔尼尔。从结构上看,环虫腈可看作是在灭蝇胺的基础上通过对中心环的修饰得到的,灭蝇胺的中心环是均三嗪结构,而环虫腈的中心环是嘧啶环,这一改变使得环虫腈的活性比灭蝇胺更高,同样作为昆虫生长调节剂环虫腈不能直接杀死害虫,但进入虫体后,可减少害虫产卵量或降低孵化率,阻止幼化蛹及变成成虫,或在昆虫生长发育过程中通过使几丁质在昆虫外骨骼中的位置发生混乱,从而导致昆虫外骨骼不能完整形成,导致昆虫殒命。研究表明环虫腈不但对于双翅目幼虫有特效,而且对于部分鳞翅目(夜蛾、二化螟、棉铃虫)、鞘翅目(跳甲)、半翅目(稻飞虱、蚜虫、粉虱)、缨翅目(蓟马)等害虫也有增效作用。同时也被用于家庭卫生防治苍蝇、蚊子等害虫。

01 产品简介
英文名称:dicyclanil
中文名称:环虫腈
其他名称:地昔尼尔、丙虫啶
化学名称:4,6-二氨基-2-(环丙氨基)嘧啶-5-腈
分子式:C8H10N6
相对分子质量:190.205
CAS登录号:112636-83-6
结构式:

三维结构式:

理化性质:原药为白色微结晶粉末,沸点:543.6±60.0°C、密度:1.44±0.1 g/cm3、溶解度:DMSO: 38 mg/mL (199.78 mM);Ethanol: 2 mg/mL (10.51 mM)、酸度系数:(pKa)4.09±0.50
02 作用机理
环虫腈属于几丁质抑制剂(也叫二氢叶酸酯还原酶的抑制剂)通过改变几丁质在表皮的沉着而发挥杀虫作用。
03 应用
应用作物:棉花、玉米、水稻、蔬菜、果树、蘑菇
靶标害虫:潜叶蝇、蚊、甜菜夜蛾、小菜蛾、斜纹夜蛾、金纹细蛾、二化螟、三化螟、稻飞虱、稻纵卷叶螟、棉铃虫、红铃虫、盲蝽、食心虫、蚜虫、跳甲、蓟马、粉虱、介壳虫等
开发剂型:10%环虫腈SC、20%环虫腈SC
04 专利情况
1987年汽巴嘉基公司在中国、美国等全球26个国家和地区申请了基于环虫啶在内的嘧啶类化合物专利
专利名称:取代的嘧啶类化合物
申请号:CN87103168.X
申请日:1987/04/29
失效日:1992/08/19
公开号:CN87103168A
摘要:本发明所涉及的是式(Ⅰ)的新化合物及其盐,其制备方法及有关各中间体的制法,以及可用于防治昆虫及蜱螨目中有代表性的害虫,尤其是危害植物的食草昆虫及危害动物的体外寄生虫的含有这些化合物的组合物.式Ⅰ中各符号的含义见说明书。

05 合成路线
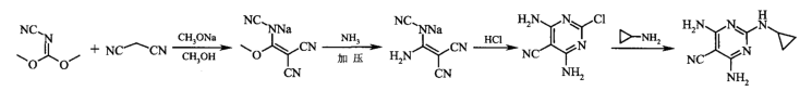
路线一:汽巴嘉基公司在专利EP0711285中描述了以(N-氰亚氨基)碳酸二甲酯为起始原料,通过缩合、氨化、环合、取代得到环虫腈,合成路线如下:

路线二:以2-氰基-3-氰氨基-3-甲硫基丙烯腈为起始原料,通过环合、取代、氨化得到最终产物环虫腈,合成路线如下:[1]张梅.新杀虫剂丙虫啶的合成与应用[J].世界农药, 2000, 22(1):2.DOI:CNKI:SUN:NYSJ.0.2000-01-009.

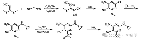
路线三:目前工业化生产主要采用路线3,即以N-氰亚胺基-S,S-二硫代碳酸二甲酯为起始原料,通过缩合、环合、取代、氧化、氨化得到最终产物环虫腈。合成路线如下:[1]陆建国.地昔尼尔合成工艺的改进[J].安徽化工, 2014(3):37-38.DOI:10.3969/j.issn.1008-553X.2014.03.013.

路线四:以双氰胺钠、丙二腈、环丙胺等为起始原料,通过缩合、环合、取代3步反应得到目标产物,合成路线如下:[1]王学成,苏文杰,朱建民.昆虫生长调节剂环虫腈的合成研究[J].现代农药, 2015, 14(3):3.DOI:10.3969/j.issn.1671-5284.2015.03.009.

06 复配推介
作为杀虫剂环虫腈可选择与氯虫苯甲酰胺、虫螨腈、茚虫威、甲萘威、杀虫单、虫酰肼、甲氧虫酰肼、呋喃虫酰肼、环虫酰肼、唑虫酰胺等增加对鳞翅目及双翅目害虫的防治,可选择与毒死蜱、氟啶虫酰胺、氟啶虫胺腈、烯啶虫胺、螺虫乙酯、乙虫腈、三氟苯嘧啶、吡蚜酮、吡丙醚等增加对半翅目害虫的防治。更可以和黑科技复配增加持效期。
07 前景展望
目前环虫腈(地昔尼尔)主要商业应用集中在兽用领域,特别是预防绵羊的蝇蛆病。农业上并未进行商业化开发,未来向公共卫生领域(如蚊蝇幼虫控制)及高价值农作物害虫防治延伸是潜在的推广方向,如在百合科作物斑潜蝇、根蛆的防治和食用菌产业中菌蛆的防治中都是其开发方向。
(来源:李祝明微信公众号)
游客可直接评论,建议先注册为会员后评论!
以上评论仅代表会员个人观点,不代表中国农药网观点!



