总投资3亿元,建设年产47320吨农药原药及中间体项目!更多农药产品新建、登记及市场动向......
编者按:如果企业是一棵大树,那么产品就是企业的根和生命之源,企业之间的竞争归根结底还是产品的竞争。因此,如何更好地捕获、掌握并进行深入分析研究各种有价值的产品信息,如何研发、生产、登记和推广应用好一个产品,这些对企业都至关重要。我们将在每周日汇总推出行业和企业热点和重点产品有关新建、登记、市场和应用的最新动态,以供企业决策和经营。
一 周 农 药
总投资3亿元,建设年产47320吨农药原药及中间体项目
2025年11月18日,内蒙古犇星化学有限公司年产47,320吨农药中间体及原药项目(二期项目)环境影响评价文件受理情况在相关网站公示。
建设年产6,000吨溴虫腈,年产5,770吨氯化钠,1,690吨亚磷酸,5,850吨三乙胺,2,150吨盐酸,生产车间、仓库、罐区及相关配套设施。
表1 本次建设项目产品方案一览表

该项目溴虫腈的生产以对氯苯甘氨酸、三氟乙酸、2-氯丙烯腈为原料,经内酯化、吡咯环化、溴代、醚化4步反应合成溴虫腈。避免了现在市场上较多合成路线存在原料成本高以及涉及剧毒化学品氰化钠的使用、反应的选择性较差等问题。该方法操作简便,原料易得,收率较高,成本低。本公司溴虫腈技术地位处于国内外领先水平,在国内企业应用较多,工艺技术成熟稳定。项目建成后年产6,000吨溴虫腈。
溴虫腈为吡咯类杀虫、杀螨剂,对钻蛀、刺吸、咀嚼式害虫及害螨有优良的防效。该药剂具有以下特征:广谱性杀虫、杀螨剂;兼有胃毒、触杀作用;与其他杀虫剂无交互抗性;在作物上有中等残留活性;在营养液中经根系吸收有选择性内吸活性;低毒,对哺乳动物经口毒性中等。
本项目总生产规模合计为年产47,320吨农药中间体及原药项目,备案产品为:一期年产1.5万吨甲基噻唑,年产11,200吨盐酸,生产车间及相关配套设施;二期投资建设年产6,000吨溴虫腈,年产6,400吨氯化钠,2,200吨亚磷酸钠,6,520吨三乙胺。
2019年内蒙古犇星化学有限公司在阿拉善高新技术产业开发区巴音敖包工业园投资建设项目,2020 年批复的“内蒙古犇星化学有限公司年产10,000吨噻虫嗪原药、年产2,500吨高效农药除草剂原药及年产3,000吨农药中间体建设项目”未建设,今后不再建设;其他已批复的项目中“草铵膦项目”目前未建设,“噻虫胺项目”已建成未运行。
厂区目前正常运行产品规模为三氯吡啶醇钠1万吨/年、甲基噻唑0.5万吨/年、毒死蜱1.5万吨/年、戊唑醇环氧物1万吨/年、戊唑醇0.5万吨/年、噻虫嗪0.5万吨/年。
表2 现有工程生产规模及产品方案一览表


总投资1.2亿元,年产3000吨生物农药生产线拟建
近日,远大作物科学(陕西)有限公司年产3,000吨生物农药生产线建设项目环境影响报告书在相关网站报批前公示。
主要新增一座综合车间、一座污水处理站及配套的公辅工程等;
行业类别:C2632生物化学农药及微生物农药制造;
产品方案:311吨/年80%春雷霉素原药、50.4吨/年赤霉酸、16.8吨/年S-诱抗素、300吨/年苏云金杆菌、108.8吨/年解淀粉芽孢杆菌、2,392.45吨/年6%春雷霉素水剂、1,200吨/年0.2%春雷霉素颗粒剂、1,600吨/年77.6%春雷·王铜水分散粒剂。
长青股份新厂区全面投产,原药年产能超过10000吨
2025年11月12日,江苏长青农化股份有限公司(简称“长青股份”)财务总监兼董事会秘书马长庆、证券事务代表肖刚接待了多家投资机构的调研,并回答了相关问题。
问1:公司沿江厂区搬迁工程的完成情况?
答:公司沿江厂区迁建工程已全部完成,厂区新建的9个原药车间已全面投入生产,新厂区原药年产能超过1万吨。
问2:最近菊酯中间体贲亭酸甲酯的价格波动较大,对公司高效氯氟氰菊酯(功夫菊酯)等产品有无影响?
答:公司配套有4,000吨/年的贲亭酸甲酯产线,该中间体的价格波动对公司菊酯产线的影响较小。
问3:公司2025年业绩较上年有明显增长,主要增长点在哪里?
答:2025年,公司一方面生产上通过对内挖潜、技术进步与强化管理提高生产效率,提升产品质量,降低生产成本;同时,沿江厂区腾退搬迁工作的完成使该厂区的产能恢复,新厂区的生产成本较老厂区有所下降;第三,2025年,公司高毛利品种的销量有所增长,也增厚了公司的利润。
问4:目前的关税水平对公司的对美出口有无影响?
答:目前,农化产品的对美出口关税仍处在较高水平,公司通过各种措施加强美国市场的开拓,本年相较于去年同期,公司的对美出口是增长的。
问5:能简单说一下麦草畏的目前的市场情况么?
答:随着海外市场的库存逐渐恢复到正常水平,麦草畏的销售也有所增加,虽然目前麦草畏的价格仍处于低点,但公司该产品的盈利情况有所好转。
问6:农药“一证一品”政策2026年即将落地,公司认为对市场会有何影响?
答:相关政策的核心是同一登记证号的农药产品必须使用相同商标,委托加工产品不得标注受托方商标,并实现原药溯源。公司认为,该政策的落地将有利于优势农药企业利用技术、证件资源等优势专注提升品质,打造品牌,在市场的差异化竞争中,不断提高产品质量、安全性、适用性,推动产品转型升级。
新型异噁唑啉类杀菌剂——啶菌噁唑
啶菌噁唑(pyrisoxazole)是1996年由沈阳化工研究院发明的新型异噁唑类杀菌剂,凭借新颖的化学结构,独特的作用机理,突出的防治效果,优秀的市场表现啶菌噁唑目前已成为我国自主开发最成功的杀菌剂品种之一。啶菌噁唑兼具有杀菌谱广和杀菌活性高双重特性,并且兼具预防和治疗的效果,而且具有良好的内吸传导活性,对灰霉病有特效,同时研究表明对子囊菌、担子菌和无定形真菌等引起的植物真菌性病害也有很好的防治效果。
01 产品简介
英文名称:pyrisoxazole
中文名称:啶菌噁唑
其他名称:灰霉净
化学名称:(3R,5E)-5-(4-氯苯基)-2,3-二甲基-3-(吡啶-3-基)异噁唑烷
分子式:C16H17Cl N2O
相对分子质量:288.772
CAS登录号:847749-37-5
结构式:

三维结构式:

理化性质:淡黄色至浅黄色固体,熔点:54-56°C,沸点:401.4±55.0°C(Predicted),密度:1.189±0.06g/cm3(Predicted),酸度系数:(pKa)4.91±0.12(Predicted),易溶于丙酮、二氯甲烷、氯仿、乙酸乙酯、乙醚,不溶于水,微溶于石油醚。
02 作用机理
啶菌噁唑属于膜中甾醇生物合成抑制剂,作用于膜中甾醇生物合成中的C14-去甲基酶。该靶点与三唑类类杀菌剂相同,当C14-去甲基酶被抑制后,麦角甾醇无法合成,而有毒的固醇前体(如14α-甲基甾醇)会大量积累,导致细胞膜结构异常、通透性增加,最终使细胞内容物外泄而死亡。
啶菌噁唑既能阻止病菌孢子萌发和侵入(保护作用),也能在病菌侵染后杀死菌丝,阻止病斑扩大(治疗和铲除作用)。同时具有较强的内吸传导性,被植物组织吸收并传导后,对已侵入植物体内的病菌同样有效。
03 应用
应用作物:玉米、小麦、水稻等谷物,番茄、黄瓜、草莓、韭菜、莴苣、葫芦、等蔬菜,大豆、花生、棉花等大田作物,葡萄、苹果、梨等果树,以及园林和观赏作物等
防治病害:灰葡萄孢所引起的灰霉病,黄瓜枯萎病菌、黑星病菌,草莓叶霉病,小麦根腐病、赤霉病、纹枯病,花生褐斑病,棉花枯萎病,玉米小斑病、丝黑穗病,葡萄白腐病、褐斑病,苹果斑点落叶病、轮纹病等
开发剂型:25%啶菌噁唑EC、25%啶菌噁唑EW
使用方法:于植物发病前或发病初期,防治灰霉病协防白粉病,选择叶面喷雾,25%乳油使用量为53-107毫升/亩,25%水乳剂使用量在80-120毫升/亩
04 登记情况
目前国内登记啶菌噁唑原药1家,为江苏扬农子公司辽宁优创,制剂登记7个,其中单剂两个25%EC和25%EW登记公司都为扬农,复配产品有咯菌腈、嘧菌环胺、啶酰菌胺、福美双、吡唑醚菌酯,登记企业主要为扬农系和海利尔系。


05 专利情况
化合物专利
1、1999年7月沈阳化工研究院申请了基于啶菌噁唑在内的3,3’二取代、含3-吡啶基的异噁唑啉类化合物专利
专利名称:用作杀菌剂的杂环取代的异噁唑啉类化合物
申请号:CN99113093.6
申请日:1999.07.14
公开号:CN1280767A
公开日:2001.01.24
摘要:本发明合成了具有通式(Ⅰ)的杂环取代的异噁唑啉类化合物及其立体异构体,式中X选自N或CH,R、R1、R2、R3、R4和R5各自独立地选自氢、烷基、卤烷基、烯基、炔基、烷氧烷基、环烷基、环烷基烷基、芳基、芳基烷基和杂环基。它们可以单独使用或与其它活性组分一起用作杀菌剂。

2、沈阳化工研究院于2004年申请的用作杀菌剂的芳基取代的异噁唑啉类化合物也包含啶菌噁唑在内。
专利名称:用作杀菌剂的芳基取代的异噁唑啉类化合物
申请号:CN200410020467.9
申请日:2004.04.27
公开号:CN1690050A
公开日:2005.11.02
摘要:本发明公开了具有通式(I)的化合物及其几何异构体、旋光异构体以及农业上可接受的盐。式中:X选自氢,卤素,氰基,硝基,(C1-C4)烷氧基,(C1-C4)烷基或卤(C1-C4)烷基,n为1-5的整数;Y选自碳或氮;R、R1、R2、R3、R4和R5各自独立的选自氢、烷基、卤烷基、烯基、炔基、烷氧基、环烷基或芳基。它们可以单独使用或与其它活性组分混合用作农用杀菌剂。

制备专利:
1、2005年沈阳化工研究院申请了啶菌噁唑的制备专利。
专利名称:一种制备芳环取代的异噁唑啉类化合物的方法
申请号:CN200510046262.2
授权日:2008/05/21
申请日:2005/04/15
失效日:2024/04/15
公开号:CN1847231A
当前专利权人:沈阳中化农药化工研发有限公司
2、2019年沈阳申请了啶菌噁唑的合成专利并涉及到其顺式异构对映体和反式异构对映体的混合物及不同纯度含量的杀菌效果的报道,并提供一种异噁唑啉类化合物的手性单体。
专利名称:一种异噁唑啉类化合物异构体及其制备方法
申请号:CN201910353139.7
申请日:2019/04/28
失效日:2039/04/28
公开号:CN111848597A
当前专利权人:沈阳科创化学品有限公司
3、2020年沈阳中化申请了涉及一步法合成啶菌噁唑的合成专利
专利名称:一种异噁唑啉类化合物的制备方法
申请号:CN202011621419.0
授权日:2024/02/06
申请日:2020/12/31
失效日:2040/12/31
公开号:CN114685471A
当前专利权人:沈阳科创化学品有限公司
06 合成路线
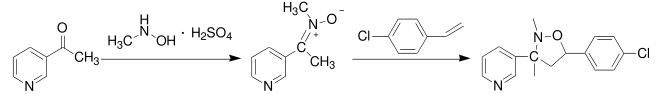
路线一:专利CN1280767A报道了以 C,N-二甲基-(3-吡啶基)硝酮和对氯苯乙烯为原料,以甲苯作溶剂,在回流的条件下合成啶菌噁唑的方法,反应式如下:

该方法的优点是反应步骤少,原料对氯苯乙烯易得,反应条件比较温和。缺点是由于对氯苯乙烯容易发生自聚合,导致啶菌噁唑合成收率仅为 20%左右,菌唑产品分离困难、含量较低。
路线二:专利CN100389110C报道了以3-乙酰基吡啶、N-甲基羟胺硫酸盐为原料,首先合成中间体-硝酮,然后以乙酸为催化剂,以对叔丁基邻苯二酚为阻聚剂,与对氯苯乙烯发生[3+2]环化反应,合成得到啶菌噁唑,反应式如下:

该合成方法的优点是由于催化剂和阻聚剂的引入,啶菌唑的合成收率得到了较大的提高,达到到60%左右,且解决了产品分离困难的问题,啶菌噁唑含量达到 95%以上,更加适合产业化生产。缺点是生产成本仍然偏高,而且废水量较多,三废处理的难度比较大。
路线三:专利CN114685471A报道了以 3-乙酰吡啶、对氯苯乙烯、N-甲羟胺硫酸盐为起始原料,“一步法”合成啶菌噁唑的方法,即:直接投入3-乙酰基吡啶、对氯苯乙烯、醋酸钠和 N-甲羟胺硫酸盐等原料,一步法反应合成啶菌噁唑,反应路线如下:

与传统合成方法相比,“一步法’操作简单,不需要对中间体-硝酮进行处理,反应速度可以通过N-甲羟胺硫酸盐的加入方式进行控制,适合于工业化生产。
07 复配推介
可以选择与菌核净、 腐霉利、异菌脲、乙烯菌核利、菌核利、菌核净、抑霉唑、乙菌利、乙霉威、嘧霉胺、氟啶胺、甲基硫菌灵、多菌灵、噻菌灵、噻霉酮、咪鲜胺、克菌丹、嘧菌酯、 肟菌酯、双胍三辛烷基苯磺酸盐、咯菌腈、氟喹唑、环菌唑、灭菌唑、嘧菌胺、嘧霉胺、环酰菌胺、环啶菌胺、啶酰菌胺、氟吡菌酰胺、吡噻菌胺、异丙噻菌胺、氟唑菌酰胺等。
08 前景展望
啶菌噁唑是沈阳化工研究院于多个新化合物中筛选出来的异噁唑啉类化合物,凭借其独特作用机制、高效生物活性及良好环境相容性,尤其在灰霉病防治领域展现出核心竞争力。
结构方面,啶菌噁唑是典型的手性化合物,结构中含有2个手性碳原子,存在2个几何异构体和4个手性异构体。2022年最新研究成功分离出4个手性异构体单体:(3S,5R)-PZ、(3R,5S)-PZ、(3R,5R)-PZ和(3S,5S)-PZ,并通过X射线单晶衍射等技术确定了其绝对构型。同时研究表明,啶菌噁唑结构中的氧原子是导致异噁唑啉类化合物具有杀菌活性的关键因素。当异噁唑啉环上的氧原子获得更突出的空间结构时,表现出更好的生物活性。(3S,5R)-PZ的C3-O1-N1键角最小,氧原子接触和暴露于周围环境的面积最大,更容易与生物目标发生作用,因此生物活性更高。
防效方面,啶菌噁唑在离体情况下对植物病原菌有极强的杀菌活性,对由灰葡萄孢引起的灰霉病有特殊的防治效果。研究表明,单体(3S,5R)-PZ为高活性单体,其杀菌活性、治疗活性、内吸性、保护活性均明显好于其他单体,并且优于啶菌噁唑外消旋体和德国巴斯夫公司的啶酰菌胺。另外啶菌噁唑还对番茄叶霉病;小麦、黄瓜白粉病;黄瓜、梨黑星病;苹果斑点落叶病;花生叶斑病;花生褐斑病;水稻稻瘟病等多种病害有效,可与其他产品复配,应用范围可进一步扩大。
合成方面,最新的研究报道了"一步法"以3-乙酰基吡啶、N-甲基羟胺硫酸盐、对氯苯乙烯为原料合成啶菌噁唑的新方法,该工艺使啶菌噁唑收率达到72.8%。为啶菌噁唑进一步工业化提供了依据。综上所述,随着对啶菌噁唑手性异构体研究的突破、产能扩张及专利期的临近,其应用前景广阔,有望从番茄灰霉病专用药剂向多作物、多病害防控方向拓展,成为我国绿色农药产业的重要支柱。
游客可直接评论,建议先注册为会员后评论!
以上评论仅代表会员个人观点,不代表中国农药网观点!



