总投资1.54亿元,一揽子农药中间体项目拟建!更多农药产品新建、登记及市场动向......
编者按:如果企业是一棵大树,那么产品就是企业的根和生命之源,企业之间的竞争归根结底还是产品的竞争。因此,如何更好地捕获、掌握并进行深入分析研究各种有价值的产品信息,如何研发、生产、登记和推广应用好一个产品,这些对企业都至关重要。我们将在每周日汇总推出行业和企业热点和重点产品有关新建、登记、市场和应用的最新动态,以供企业决策和经营。
一 周 农 药
总投资1.54亿元,一揽子农药中间体项目拟建
2026年1月8日,内蒙古大中实业化工有限公司年产18,000吨三氟甲苯系列、22,000吨苯胺系列、1,000吨五氟磺草胺、1,000吨炔草酯、1,000吨吡氟酰草胺项目(三期工程)环境影响评价文件受理情况在相关网站公示。
内蒙古大中实业化工有限公司经过充分调研,拟投资100,000万元在阿拉善高新技术产业开发区巴音敖包工业园区内征地433,787.56m2,进行年产18,000 吨三氟甲苯系列、22,000吨苯胺系列、1,000吨五氟磺草胺、1,000吨炔草酯、1,000吨吡氟酰草胺项目建设。上述项目已于2020年10月21日经阿拉善高新技术产业开发区行政审批和政务服务局备案(备案号:2019-152971-26-03-009158)。项目共分五期投资建设,本次拟对备案文件中的三期项目评价。三期项目投资额1.54亿元,建设产品名称:① 三氟甲苯系列:年产250吨4-氯-3-氨基三氟甲苯、250吨5-氯-2-氨基三氟甲苯;② 苯胺系列:年产5,000吨2,4-二甲基苯胺、1,000吨2,6-二甲基苯胺、4,000吨间(邻、对)三氟甲基苯胺;③ 200吨2-甲基-3-氨基三氟甲苯。
本次项目建设1条年产250吨5-氯-2-氨基三氟甲苯生产线、1条年产250吨4-氯-3-氨基三氟甲苯生产线(4-氯-3-氨基三氟甲苯和5-氯-2-氨基三氟甲苯生产设备共用)、1条年产5,000吨2,4-二甲基苯胺生产线、1条年产1,000吨2,6-二甲基苯胺生产线、1条年产4,000吨间(邻、对)-三氟甲基苯胺生产线、1条年产200吨2-甲基-3-氨基三氟甲苯生产线及辅助附属设施。其中,年产200吨2-甲基-3-氨基三氟甲苯产品生产线为原备案中二期项目产品,现调整至本项目实施。另外,原备案中的副产年产10,000吨硫酸、200吨盐酸、120吨次氯酸钠、200吨3-氯-4-氨基三氟甲苯生产线不再建设。
4-氯-3-氨基三氟甲苯,外观为无色透明液体,用作医药、农药中间体,本项目中主要作为农药中间体使用。
5-氯-2-氨基三氟甲苯,外观为无色液体,主要用于染料、农药、医药中间体,本项目中主要作为农药中间体使用。
2,4-二甲基苯胺,外观为无色油状液体,主要用于农药、医药、染料等中间体,本项目中主要作为农药中间体使用。
2,6-二甲基苯胺,外观为微黄色液体,用于农药、医药及兽药中间体,也可作为染料等化工产品的原料,本项目中主要作为农药中间体使用。
间三氟甲基苯胺,为无色透明液体,用于农药、医药、染料等中间体;邻三氟甲基苯胺,为无色或淡黄色透明液体,用于农药、染料、医药中间体;对三氟甲基苯胺,为无色液体,用于农药、医药中间体,本项目中主要作为农药中间体使用。
2-甲基-3-氨基三氟甲苯,为白色结晶粉末,属于苯胺类衍生物,具有一定的亲核性和碱性,可用作有机合成中间体,可用于功能有机化合物的合成过程中。
年产1000吨丁氟螨酯项目拟建
近日,河南绿康生物科技有限公司年产1,000吨丁氟螨酯项目环境影响评价信息在相关网站公开。该项目已备案,项目代码2512-410602-04-02-587238。
本项目位于鹤壁市姬家山产业园现有厂区内,不新增用地。
丁氟螨酯为非内吸性杀螨剂,主要通过触杀起作用,可防治卵、若螨和成螨,其作用机制为抑制线粒体蛋白复合体Ⅱ、阻碍电子(氢)传递、破坏磷酸化反应。该产品可用于防治许多作物上的红蜘蛛、叶螨、瘿螨等螨害。
年产8000吨噻虫嗪/噻虫胺原药项目即将投产
近日,位于乌海高新技术产业开发区的内蒙古德瑞生物科技有限责任公司一期原药项目已进入投产筹备阶段。从核心生产区到配套功能区,全链条筹备环环相扣、高效推进,为如期投料生产筑牢坚实基础,项目预计1月中旬实现首次投料生产。该项目总投资3.2亿元,建成后将形成“原料储存—生产加工—成品储运”的完整产业布局,主打高效低毒杀虫剂产品。
内蒙古德瑞生物科技有限责任公司是河北德瑞化工有限公司全资子公司,其一期项目总投资3.2亿元,占地面积约256亩,规划建设年产6,000吨2-氯-5-氯甲基噻唑、5,000吨噻虫嗪、3,000吨噻虫胺原药生产线。目前,项目已建成4座生产车间、1座中央控制室、1座综合用房、5座专业库房,以及危废库、液氯库、罐区等配套设施,形成了“原料储存-生产加工-成品储运”的完整产业布局。
据介绍,该公司产品海外市场占比高,尤其在南美市场布局成熟;国内市场已构建稳定渠道。
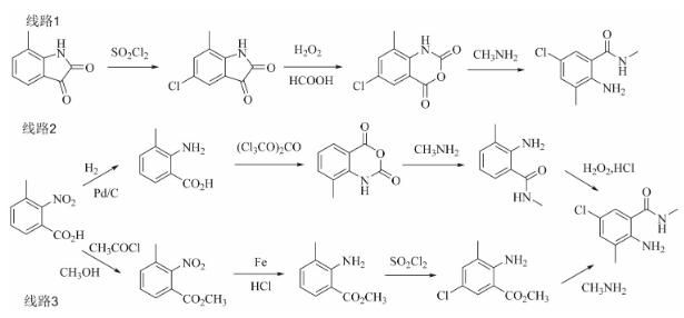
氯虫关键中间体K胺新工艺:以邻甲苯胺为起始原料四步合成
在氯虫苯甲酰胺的合成工艺中,2-氨基-5-氯-N,3-二甲基苯甲酰胺作为关键中间体,其制备工艺的优化直接影响到终产品的成本效益与产业化可行性。目前该中间体的合成路线研究基础较为薄弱,尤其在原子经济性、催化剂选择及纯化工艺等核心环节缺乏系统性研究。
据文献报道,合成2-氨基-5-氯-N,3-二甲基苯甲酰胺的方法主要有以下几种(见图2) :
1) 以7-甲基靛红为原料,经氯化亚砜氯化、甲酸-双氧水氧化、甲胺化反应制备2-氨基-5-氯-N,3-二甲基苯甲酰胺,优化工艺条件下,反应总收率为62%;
2) 以2-硝基-3-甲基苯甲酸为原料,经加氢、环合、胺解和氯化反应得到2-氨基-5-氯-N,3-二甲基苯甲酰胺,反应总收率为77.6%;
3) 以2-硝基-3-甲基苯甲酸为起始原料,经甲酯化、铁粉还原、氯化亚砜氯化和甲胺氨解反应得到2-氨基-5-氯-N,3-二甲基苯甲酰胺,反应总收率为59.0%。

图2: 2-氨基-5-氯-N,3-二甲基苯甲酰胺的合成路线
路线1虽然反应步骤短,收率相对较高,但是其起始原料7-甲基靛红价格较高,生产工艺成本高。合成路线2、合成路线3起始原料价格低,其中路线2反应收率也相对较高,但是由于起始原料2-硝基-3-甲基苯甲酸涉及安全问题,存在爆炸隐患,且路线3还涉及铁粉还原,因此这2条工艺路线不适合工业化生产。
本实验以邻甲苯胺为起始原料,经盐酸-双氧水氯代、酰胺化-分子内Friedel-Crafts酰基化、水解开环、酰胺化4步反应合成2-氨基-5-氯-N,3-二甲基苯甲酰胺,通过优化工艺参数,解决了传统生产中废弃物处理成本高昂、环保达标难度大的行业痛点。新工艺采用价格低廉的邻甲苯胺作为起始原料,总原料成本大幅度降低,反应条件温和,三废排放量显著减少,更适合规模化制备生产。

图3:本文2-氨基-5-氯-N,3-二甲基苯甲酰胺合成路线
2-甲基-4-氯苯胺的合成优化
使用双氧水-盐酸体系进行氯代反应,其中邻甲苯胺与双氧水的投料比例对反应收率有较大的影响,双氧水用量少会导致反应不完全,双氧水用量多会导致废水量的增加。在其他条件不变的情况下,考察双氧水用量的影响,邻甲苯胺与盐酸的摩尔比为1∶3,催化剂为氯化锌,用量为邻甲苯胺质量的1%,反应温度为20℃,液相追踪反应进程,结果如表1所示。
表1 双氧水用量对2-甲基-4-氯苯胺合成的影响

从表1可以看出,双氧水用量对2-甲基-4-氯苯胺合成有影响,其中邻甲苯胺与双氧水摩尔比为1∶1.5时收率为96.2%,继续提高双氧水用量对反应收率影响不大,同时双氧水用量过高也会导致废水量的增加,不利于产品的工业化生产。
相关氯虫苯甲酰胺文献中以氯化亚砜为氯化试剂、以乙腈为溶剂较为常见,文献最高收率为91.6%,且在原子经济性、三废产生量和原料成本等方面处于劣势。本实验路线氯正离子源为盐酸,与液氯、氯化亚砜等相比安全性更好,双氧水作为一种绿色的氧化剂,其使用比液氯、氯化亚砜等更加安全、方便,产生的氯正离子原位发生亲电取代,利用率高。
5-氯-7-甲基靛红的合成优化
以二氯乙烷为溶剂、三乙胺为缚酸剂,2-甲基-4-氯苯胺、三乙胺、催化剂、草酰氯的物质的量之比为1∶1.2∶2.5∶1.5,草酰氯滴加过程控制反应体系温度低于5℃,滴毕回流条件下考察催化剂种类对反应的影响,结果如表2所示。 可以看出,使用三氯化铝做催化剂制备5-氯-7-甲基靛红的收率最高,可以达到90.8%,选择以三氯化铝做催化剂进行后续反应。
表2 催化剂种类对5-氯-7-甲基靛红合成的影响

以二氯乙烷为溶剂、三乙胺为缚酸剂、三氯化铝为催化剂,2-甲基-4-氯苯胺、三乙胺、草酰氯的物质的量之比为1∶1.2∶1.5,草酰氯滴加过程控制反应体系温度低于5℃,滴毕回流条件下考察催化剂用量对反应的影响,结果如表3所示。 可以看出,三氯化铝用量为2.1倍时反应收率最高,继续增加用量也无法进一步提高反应收率。
表3 催化剂用量对5-氯-7-甲基靛红合成的影响

以二氯乙烷为溶剂、三乙胺为缚酸剂,2-甲基-4-氯苯胺、三乙胺、三氯化铝的物质的量之比为1∶1.2∶2.1,草酰氯滴加过程控制反应体系温度低于5℃,滴毕回流条件下考察草酰氯用量对反应的影响,结果如表4所示。 可以看出,当2-甲基-4-氯苯胺与草酰氯摩尔比为1∶1.25时反应收率最高,继续提高草酰氯投料对反应收率影响不大。
表4 草酰氯用量对5-氯-7-甲基靛红合成的影响

以二氯乙烷为溶剂,三乙胺为缚酸剂,三氯化铝为催化剂,2-甲基-4-氯苯胺、三乙胺、三氯化铝、草酰氯的物质的量之比为1∶1.2∶2.1∶1.25,草酰氯滴加过程控制反应体系温度低于5℃,考察滴毕草酰氯后反应温度对反应的影响,结果如表5所示。 可以看出,滴加草酰氯结束后反应温度对收率有较大影响,其中70℃时反应收率最高。
表5 反应温度对5-氯-7-甲基靛红合成的影响

2-氨基-5-氯-3-甲基苯甲酸的合成优化
双氧水浓度会影响5-氯-7-甲基靛红开环速率和反应收率,双氧水浓度过低会影响反应收率,双氧水浓度过高可能会存在安全隐患。在其他条件不变的情况下,5-氯-7-甲基靛红、氢氧化钠、双氧水物质的量比为1∶3.9∶1.47,反应温度35℃,考察双氧水浓度对反应的影响,实验结果如表6所示。可以看出,双氧水浓度为15%时收率最高为90.2%,继续提高双氧水浓度对反应影响不大,且双氧水浓度过高会存在安全隐患。
表6 双氧水浓度对2-氨基-5-氯-3-甲基苯甲酸合成的影响

2-氨基-5-氯-N,3-二甲基苯甲酰胺的合成优化
在其他条件不变的情况下,2-氨基-5-氯-3-甲基苯甲酸与二氯亚砜摩尔比为1∶1.55,二氯甲烷为溶剂,反应温度低于20℃,滴毕后反应1 h,考察2-氨基-5-氯-3-甲基苯甲酸与甲胺的摩尔比对反应收率的影响,实验结果如表7所示。 可以看出,2-氨基-5-氯-3-甲基苯甲酸与甲胺摩尔比为1∶1.2时收率最高,等摩尔投料反应收率不到70%,同时继续提高甲胺投料对反应收率影响不大。
表7 原料投料比对2-氨基-5-氯-N,3-二甲基苯甲酰胺合成的影响

结论
通过综合分析2-氨基-5-氯-N,3-二甲基苯甲酰胺合成工艺的基础上,开发了以邻甲苯胺为原料合成2-氨基-5-氯-N,3-二甲基苯甲酰胺新工艺,反应经盐酸-双氧水氯代、酰胺化-分子内Friedel-Crafts酰基化、水解开环、酰胺化4步合成产品,反应总收率72.8%(以邻甲苯胺计)。该工艺反应条件温和,原料易得,操作条件简单,适合工业化生产。
游客可直接评论,建议先注册为会员后评论!
以上评论仅代表会员个人观点,不代表中国农药网观点!



