总投资6亿元,年产50000吨草甘膦等项目拟建!更多农药产品新建、登记及市场动向......
编者按:如果企业是一棵大树,那么产品就是企业的根和生命之源,企业之间的竞争归根结底还是产品的竞争。因此,如何更好地捕获、掌握并进行深入分析研究各种有价值的产品信息,如何研发、生产、登记和推广应用好一个产品,这些对企业都至关重要。我们将在每周日汇总推出行业和企业热点和重点产品有关新建、登记、市场和应用的最新动态,以供企业决策和经营。
一 周 农 药
总投资6亿元,年产50000吨草甘膦等项目拟建
近日,内蒙古兴发科技有限公司新建3万吨/年焦磷酸钠生产装置项目及5万吨/年草甘膦及配套中间体装置和公用工程升级改造项目在相关网站公示。
本项目位于兴发公司现有厂区内(项目占地3,200m2),不新增占地。新建1套处理浓缩母液量300吨/天的焦磷酸钠定向转化装置,确保满足磷浓缩液与盐浓液处理需求,年产焦磷酸钠30,000吨/年。
内蒙古兴发科技有限公司5万吨/年草甘膦及配套中间体装置和公用工程升级改造项目总投资60,000万元,其中,自有资金18,000万元,申请银行贷款42,000万元,其他0万元。
该项目针对2011年及2014年投建的5万吨草甘膦生产装置进行技术改造,将现有低效老旧的3万吨生产装置及原有2万吨已报废的生产装置淘汰后,在原厂区改建一套5万吨/年草甘膦及配套5.4万吨/年亚磷酸二甲酯、废水处理、仓库等生产装置。改建后,该装置生产规模仍为5万吨/年草甘膦不变。
总投资1.93亿元,氟唑菌酰胺、环丙氟虫胺等一揽子项目拟建
2026年1月8日,南通泰禾化工股份有限公司年产2,000吨氟唑菌酰胺、500吨氯氟联苯吡菌胺、500吨氟吡菌酰胺、150吨IPN催化剂、500吨环丙氟虫胺、2,000吨禾草丹及副产540吨二氧化硫、1,955吨31%盐酸技改项目环境影响报告书在相关网站公示。
南通泰禾化工股份有限公司年产2,000吨氟唑菌酰胺、500吨氯氟联苯吡菌胺、500吨氟吡菌酰胺、150吨IPN催化剂、500吨环丙氟虫胺、2,000吨禾草丹及副产540吨二氧化硫、1,955吨31%盐酸技改项目。拟投资19,293.96 万元。公司在现有厂区改扩建“年产2,000吨氟唑菌酰胺、500吨氯氟联苯吡菌胺、500吨氟吡菌酰胺、150吨IPN催化剂、500吨环丙氟虫胺、2,000吨禾草丹及副产540吨二氧化硫、1,955吨31%盐酸技改项目”,本次评价仅对其备案中“年产2,000吨氟唑菌酰胺、500吨氯氟联苯吡菌胺、500吨氟吡菌酰胺、500吨环丙氟虫胺、2,000吨禾草丹及副产540吨二氧化硫、1,955吨31%盐酸技改项目”进行评价,IPN催化剂单独编制环评,不在本次评价范围内。
本项目产品环丙氟虫胺和禾草丹为现有工业化生产技术,禾草丹建设单独生产线,环丙氟虫胺新增重结晶工序及更换溶剂。氟唑菌酰胺、联苯吡菌胺、氟吡菌酰胺生产线为新建。
氟唑菌酰胺、联苯吡菌胺和氟吡菌酰胺生产工艺是南通泰禾化工股份有限公司在国内外相关产品成熟工业化工艺基础上优化开发的。
本次改扩建项目已取得如东县洋口镇人民政府出具的备案证(备案证号:洋镇行审备[2025]162 号),项目代码2503-320659-89-02-840375。
作为新一代SDHI类杀菌剂,氟唑菌酰胺、氯氟联苯吡菌胺、氟吡菌酰胺具有出色的向顶传导性,被植物快速吸收后,在叶片内持续扩散,并不断向植物新生组织输送。这一特性,使得SDHI类杀菌剂适用于病害防治的多个阶段,在未发病时用药,药剂可以充分发挥对植株的持续保护作用;对已经发病的植株,可迅速发挥治疗作用,需求长期稳定。近年来,市场上推出的新一代SDHI类杀菌剂产品由于作用机制新颖、药效强、作用持久、增产效果显著,从而成为农药各巨头激烈争夺的新领域,纷纷推出许多新产品。
禾草丹属于硫代氨基甲酸酯类除草剂,通过抑制脂类生物合成和细胞分裂,导致杂草生长障碍。可广泛用于防治农田、果园、花卉苗圃、草原及非耕地、铁路和公路沿线、河道、水库、仓库等地杂草、杂灌、杂树等有害植物。
环丙氟虫胺是一种新型、高效且低毒的双酰胺类杀虫剂,由南通泰禾化工股份有限公司自主研发,拥有独立自主的知识产权,这一创新产品在杀虫剂市场上引起了广泛关注。公司已于2024年1月成功建设了一条年产能达500吨的环丙氟虫胺生产线。为了进一步扩大全球市场份额,公司正在欧美市场进行产品登记。鉴于目前生产过程发现1,2-二氯乙烷作为溶剂使用过程产品收率无法达到环评中设计收率且澳大利亚市场对二氯乙烷的残留限值有严格要求,为了更好地进入国际市场,本次技术改进将溶剂从二氯乙烷更换为甲苯。环丙氟虫胺作为公司开发的首个创制产品,将取代氯虫苯甲酰胺一部分市场。预计到2027年,环丙氟虫胺在中国区使用量将达到500吨,市场销售额10亿元。
内蒙古德瑞5000吨噻虫嗪原药等项目即将投产
近日,位于乌海高新技术产业开发区的内蒙古德瑞生物科技公司一期原药项目已进入投产筹备阶段。从核心生产区到配套功能区,全链条筹备环环相扣、高效推进,为如期投料生产筑牢坚实基础,项目预计1月中旬实现首次投料生产。该项目总投资3.2亿元,建成后将形成 “原料储存—生产加工—成品储运” 的完整产业布局,主打高效低毒杀虫剂产品。
内蒙古德瑞生物科技有限责任公司是河北德瑞化工有限公司全资子公司,其一期项目总投资3.2亿元,占地面积约256亩,规划建设年产6000吨2-氯-5-氯甲基噻唑、5000吨噻虫嗪、3000吨噻虫胺原药生产线。目前,项目已建成4座生产车间、1座中央控制室、1座综合用房、5座专业库房,以及危废库、液氯库、罐区等配套设施,形成了“原料储存-生产加工-成品储运”的完整产业布局。
清原农冠研发的新型吡唑甲酰胺类杀虫剂——啶蚜胺
啶蚜胺(dimpyrargyl)是清原农冠2025年研发的新型吡唑甲酰胺类杀虫剂,其结构与巴斯夫嗪虫唑酰胺类似,近几年鉴于双丙环虫酯、1701、氟啶虫酰胺、吡啶喹唑啉、吡啶N-1优秀的市场表现,弦音器官瞬时受体电位香草酸TRPV通道调节剂类杀虫剂已成为新农药研发的热点。据报道啶蚜胺对桃蚜、棉蚜、花生蚜、禾谷缢管蚜等多种同翅目蚜虫防效优秀。

01 产品简介
英文名称:dimpyrargyl
中文名称:啶蚜胺
化学名称:rac-5-甲基-1-[(2R)-3-甲基丁-2-基]-N-(丙-2-炔-1-基)-N-(吡啶-3-基)-1H-吡唑-4-甲酰胺
分子式:C18H22N4O
相对分子质量:310.401
CAS登录号:3060345-80-1
结构式:

三维结构式:

02 作用机理
推测啶蚜胺和嗪虫唑酰胺作用机理一致,属于弦音器官瞬时受体电位香草酸TRPV通道调节剂,作用于昆虫重要脊索器官(机械应力感受器)。通过阻断香草酸瞬时受体(TRPV)通道上游的信号传导来抑制弦音器作用,干扰害虫的听力、平衡力、方向感、重力感知、运动能力等,使中毒害虫失去协调性,无法取食,最终死亡。
目前上市的作用于弦音器的杀虫剂有吡蚜酮、吡啶喹唑啉、双丙环虫酯、氟啶虫酰胺、嗪虫唑酰胺等
03 应用
应用作物:主要用于果树和蔬菜,大豆、其他豆科植物、棉花、谷物、马铃薯等大田作物,以及花卉和观赏植物等
靶标害虫:蚜虫
04 专利情况
2025年1月清原农冠申请了基于啶蚜胺在内的吡唑酰胺类化合物专利
专利名称:一种吡唑酰胺类化合物及其应用
申请号:CN202510081013.4
申请日:2025/01/17
失效日:2045/01/17
公开号:CN120441538A
摘要:本发明属于农药技术领域,具体涉及一种吡唑酰胺类化合物及其应用。所述化合物如通式I所示:Q代表O或S;W代表CH或N;X代表氢、卤素、烷基等;Y代表卤素或烷基;Z代表烷基、烯基、炔基、环烷基等;M代表氢或烷基。所述化合物对桃蚜、花生蚜、禾谷缢管蚜等害虫具有良好的防治活性

05 合成路线
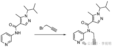
路线一:以N-(3-吡啶基)-3-甲基-1-(2-甲基丙基)-1H-吡唑-5-甲酰胺为起始经一步醚化反应生成啶蚜胺。合成路线如下:

路线二:可参考嗪虫唑酰胺的合成路线,以1-(2-甲基丙基)-3-甲基-1H-吡唑-5-甲酰氯和3-(炔丙氧基氨基)吡啶为原料,经酰胺化反应生成啶蚜胺。合成路线如下:

06 复配推介
推测啶蚜胺推广方向为蚜虫,可复配新烟碱类如烯啶虫胺、吡虫啉、噻虫嗪,螺环季酮类螺虫乙酯、甲氧哌啶乙酯,菊酯类溴氰菊酯、联苯菊酯、氰戊菊酯、甲氰菊酯,有机磷类敌敌畏、马拉硫磷等
07 前景展望
啶蚜胺是清原农冠自主研发的具有自主知识产权的炫音器官调节剂类杀虫剂,该类杀虫剂近几年在抗性蚜虫、抗性白粉虱市场较为活跃,像1701、吡啶喹唑啉N-1等以及其他相关改造物都是百吨级的市场。而目前该类化合物仅吡蚜酮和氟啶虫酰胺已过专利期,吡啶喹唑啉虽产业链已相当成熟,但国内申报证件还未下证,双丙环虫酯专利期尚早,且合成有难度,嗪虫唑酰胺专利期将于2028年届满。啶蚜胺的研发弥补了我国自研专利化合物在刺吸式害虫防治方面的空白。
在分子设计方面啶蚜胺采取与嗪虫唑酰胺相似的核心骨架(吡唑-甲酰胺),但引入了吡啶基和炔丙基醚作为关键药效团,化学结构新颖,可能赋予化合物较好的内吸传导活性和熏蒸性。
合成方面专利报道路线合成路线简洁,方便放大,但总体收率不高,部分中间体并未商业化,还需进一步优化。防效方面啶蚜胺在10 ppm浓度下对禾谷缢管蚜防效达92%,对桃蚜、棉蚜同样高效。如后续商业化进程顺利,啶蚜胺有望在弦音器调节剂赛道抢占一席之地。
游客可直接评论,建议先注册为会员后评论!
以上评论仅代表会员个人观点,不代表中国农药网观点!



